Τελευταία ενημέρωση :
27/11/2025
Αντιμυκητικό   Amphotericin B  
Ενέσιμο
Αεροζόλ Οφθαλμικές σταγόνες Πόσιμο διάλυμα Στοματικό διάλυμα
Σταθερότητα διαλυμάτων Σταθερότητα σε μίγματα Παράγοντας που επηρεάζει τη σταθερότητα Συμβατότητες Τρόπος χορήγησης Βιβλιογραφία pdf
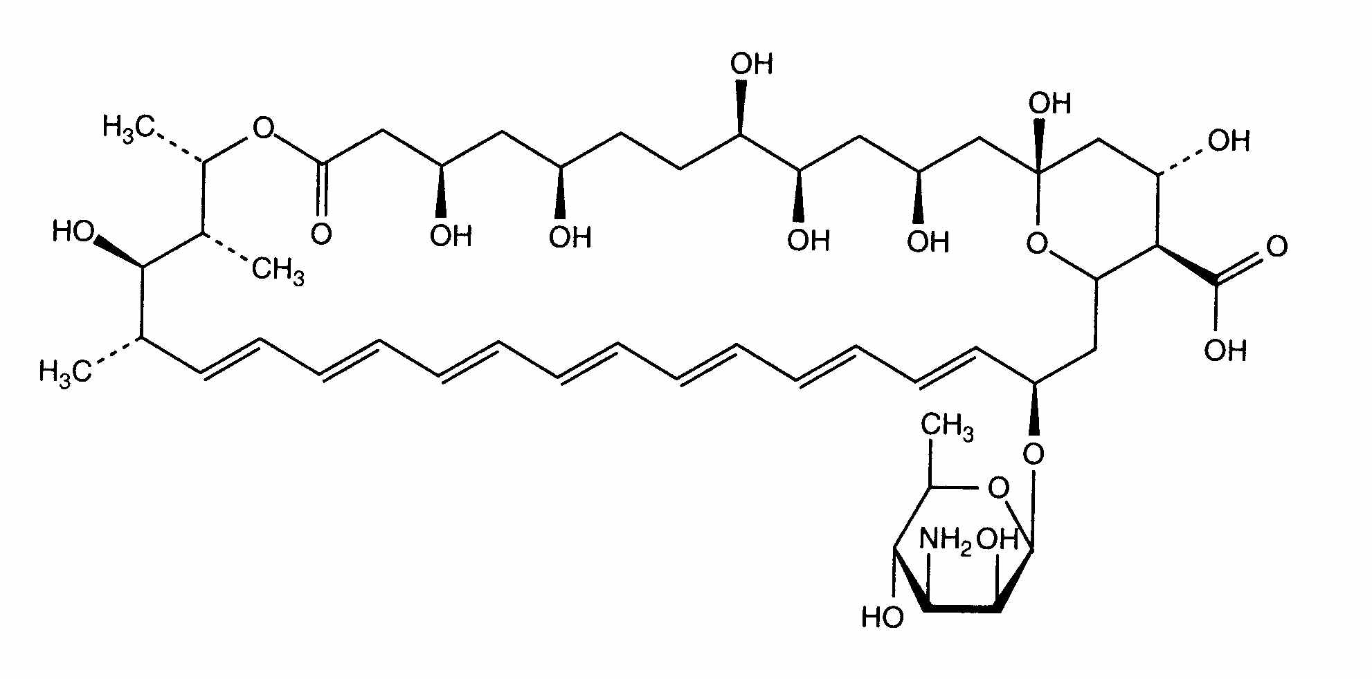
   χημική δομή  

Εμπορική ονομασία   Εμπορική ονομασία     

Οι εμπορικές ονομασίες είναι ενδεικτικές και η σύνθεση των εκδόχων μπορεί να διαφέρει ανάλογα με τη χώρα και τα εργαστήρια

Fungizone Βενεζουέλα, Γαλλία, Γερμανία, Δανία, Ελβετία, Ελλάδα, Η.Π.Α., Ινδία, Ιράν, Ιρλανδία, Ιταλία, Καναδάς, Κολομβία, Μαλαισία, Μαρόκο, Μεγάλη Βρετανία, νέα Ζηλανδία, Ολλανδία, Ουγγαρία, Πορτογαλία, Σουηδία, Τουρκία, Τυνησία, Φινλανδία
Σταθερότητα σε μίγματα   Ενέσιμο   Σταθερότητα σε μίγματα : Amphotericin B     
Δεν υπάρχουν πληροφορίες

  Mentions Légales