Seneste opdatering :
27/11/2025
Antisvampe   Amphotericin B  
Injektion
Aerosol Mundskyllevæske Oral opløsning Øjendråber
Stabilitet i (vandige) opløsninger Stabilitet i blandinger Faktorer der påvirker stabiliteten Kompatibilitet Administrationsvej Bibliografi pdf
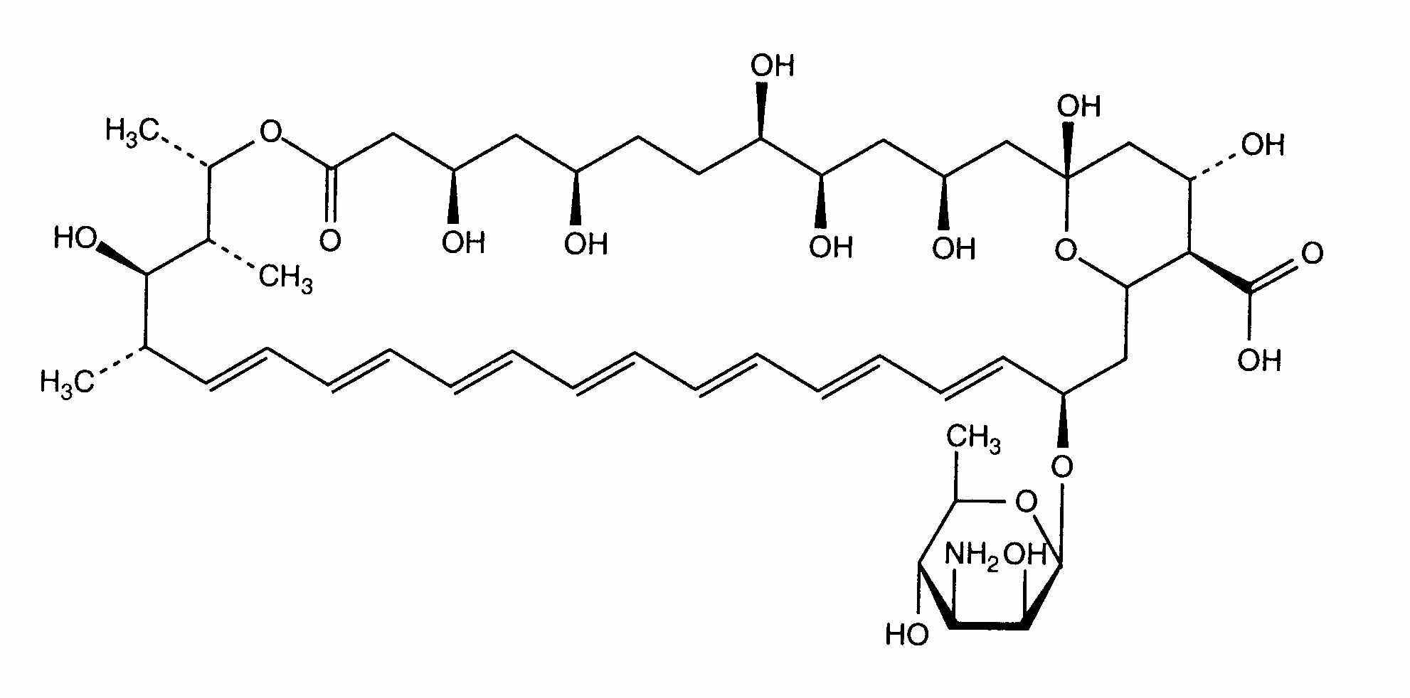
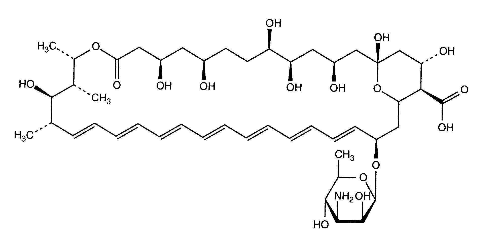
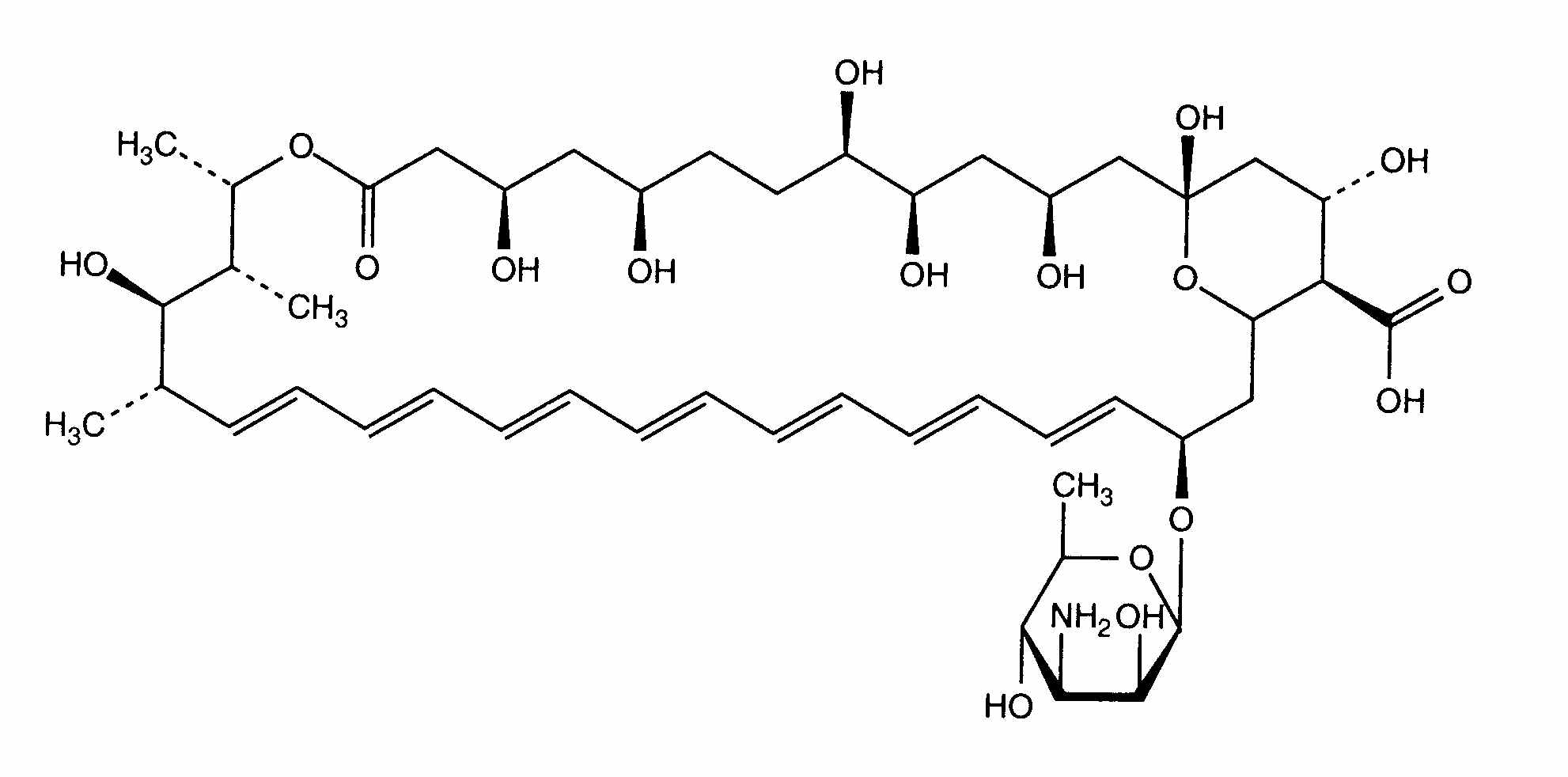
   Kemisk struktur  

Handelsnavn   Handelsnavn     

Handel navne er vejledende og hjælpestoffer sammensætning kan være forskellig afhængigt af landet og laboratorier

Fungizone Canada, Colombia, Danmark, Finland, Frankrig, Grækenland, Holland, Indien, Iran, Irland, Italien, Malaysia, Marokko, New Zealand, Portugal, Schweiz, Storbritanien, Sverige, Tunesien, Tyrkiet, Tyskland, Ungarn, USA, Venezuela
Stabilitet i blandinger   Injektion   Stabilitet i blandinger : Amphotericin B     
Ingen data

  Mentions Légales