Laatste update :
27/11/2025
Antimycoticum   Amphotericin B  
injecteerbaar geneesmiddel
Aerosol gorgelen Oogwater Orale Oplossing
Stabiliteit in oplossing Stabiliteit in mengsels Factoren die de stabiliteit beïnvloeden Verenigbaarheden Toedieningswijze Literatuur pdf
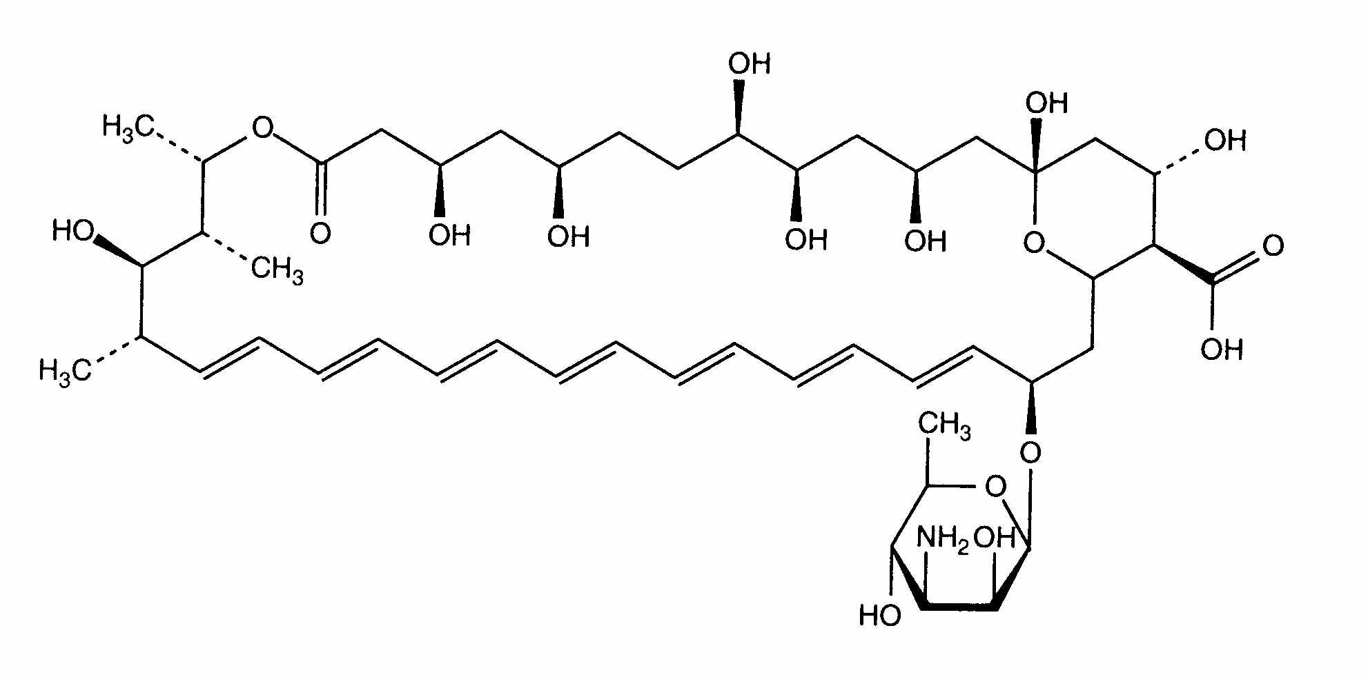
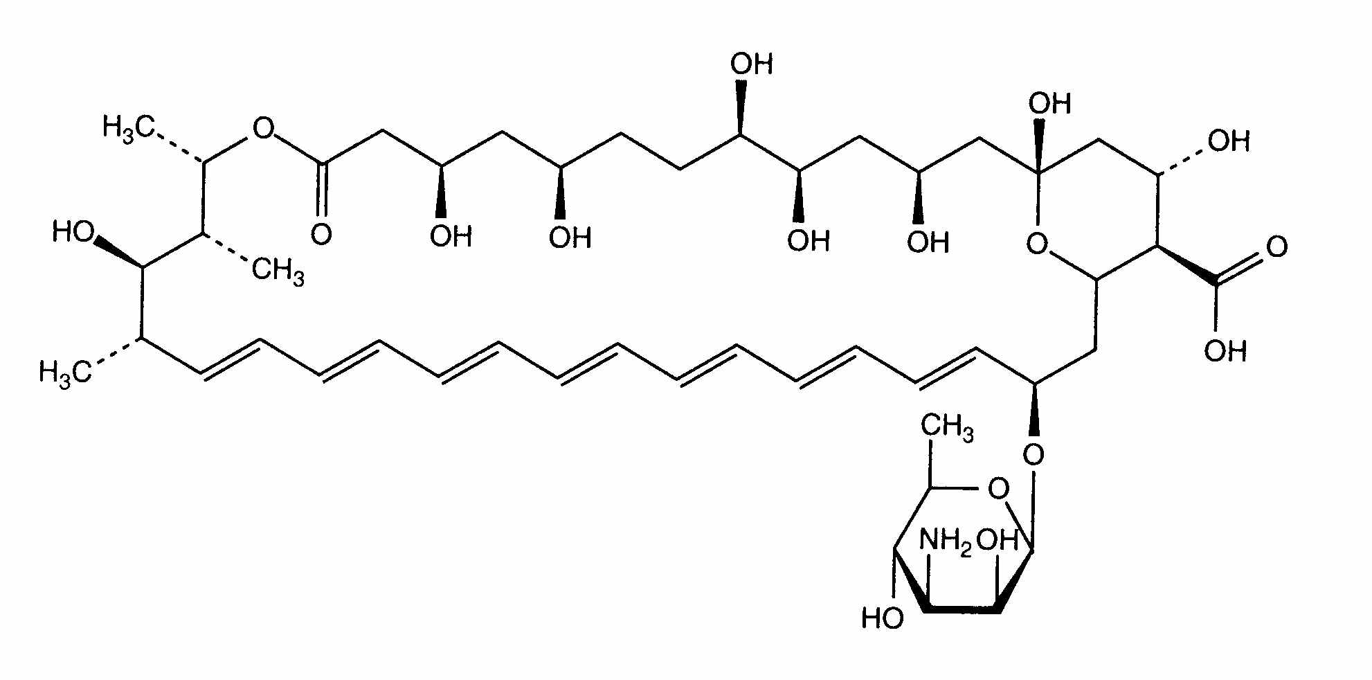
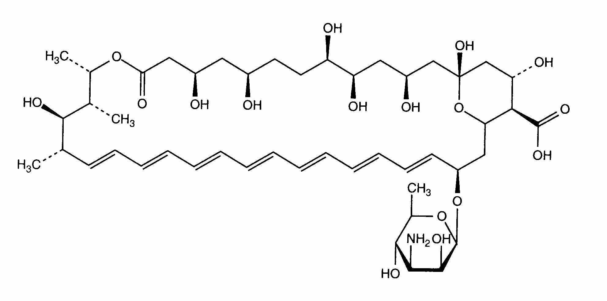
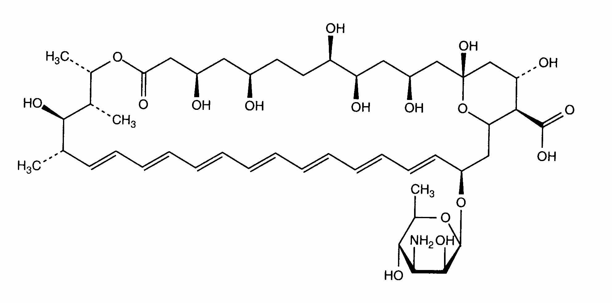
   Molecuulstructuur  

Merknamen in verschillende landen   Merknamen in verschillende landen     

Handelsnamen zijn slechts een indicatie; de samenstelling van hulpstoffen kan per land variëren afhankelijk van de fabrikant

Fungizone Canada, Colombia, Denemarken, Duitsland, Finland, Frankrijk, Griekenland, Groot Britannië, Hongarije, Ierland, Indië, Iran, Italië, Maleisië, Marokko, Nederland, nieuw Zeeland, Portugal, Tunisie, Turkije, USA, Venezuela, Zweden, Zwitserland
Stabiliteit in mengsels   injecteerbaar geneesmiddel   Stabiliteit in mengsels : Amphotericin B     
geen gegevens

  Mentions Légales