Poslední aktualizace :
27/11/2025
Priešgrybelinis vaistas   Amphotericin B  
Įpurškimas
Aerozolis Akių lašai Geriamas tirpalas Skystis burnai skalauti
Tirpalų stabilumas Mišinių stabilumas Stabilumą lemiantys veiksniai Suderinamumas Leidimo būdai Bibliografija pdf
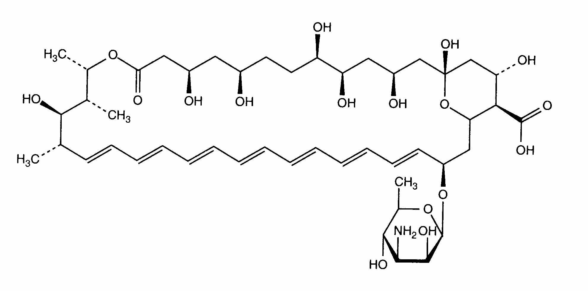
   Cheminė sandara  

Prekinis pavadinimas   Prekinis pavadinimas     

Trade names are indicative and excipients composition can be different depending on the country and manufacturers

Fungizone Airija, Danija, Didžioji Britanija, Graikija, Indija, Iranas, Italija, Jungtinės Amerikos Valstijos, Kanada, Kolumbija, Malaizija, Marokas, Naujojoje Zelandijoje, Olandija, Portugalija, Prancūzija, Suomija, Švedija, Šveicarija, Tunisas, Turkija, Venesuela, Vengrija, Vokietija
Mišinių stabilumas   Įpurškimas   Mišinių stabilumas : Amphotericin B     
Nėra duomenų

  Mentions Légales