Letztes “update” :
27/11/2025
Antifungoid   Amphotericin B  
Injektion
Aerosol Augentropfen Lösung zum Einnehmen Mundspüllösung
Stabilität der Lösung Gemengestabilität Stabilitätbeeinflussende Faktoren Kompatibilitäten Applikationsart Literaturverzeichnis pdf
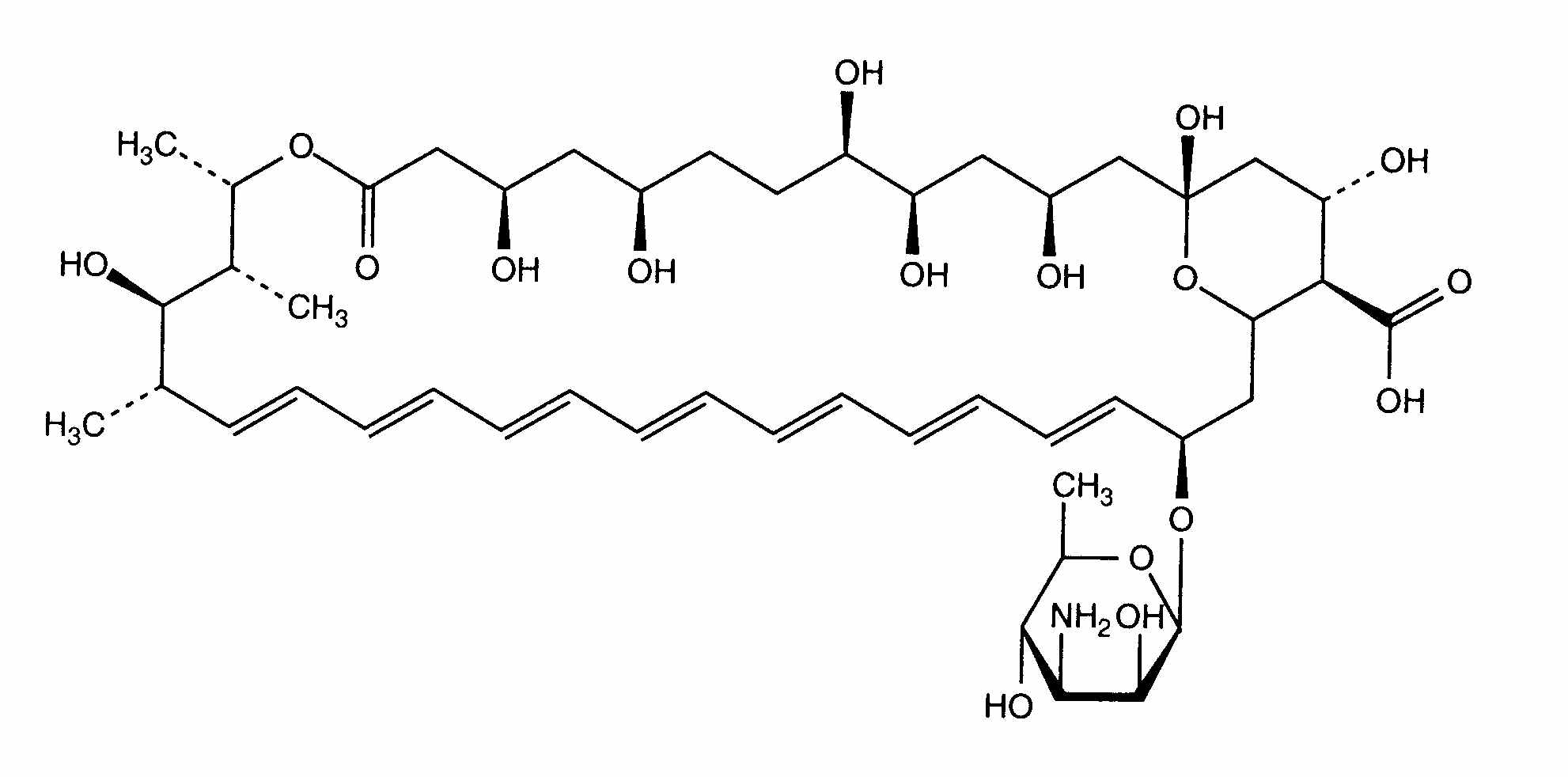
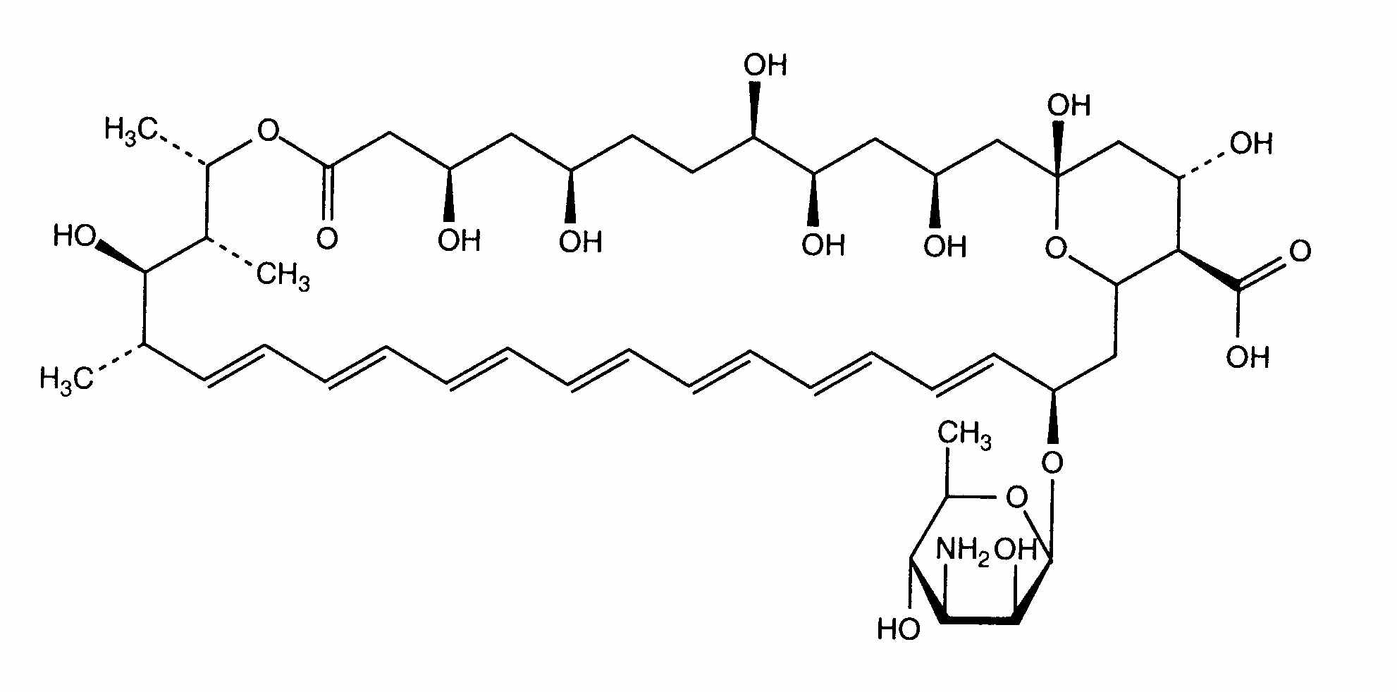
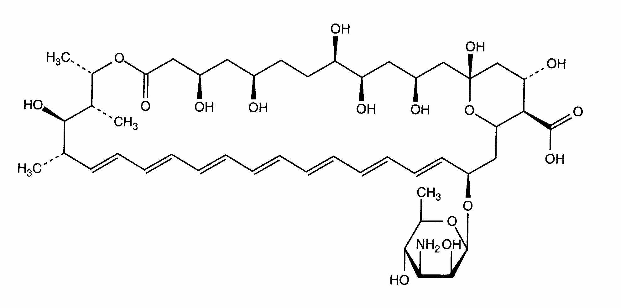
   Chemische Struktur  

Handelsmarke   Handelsmarke     

Handelsnamen sind als beispielhaft anzusehen. Sonstige Bestandteile können je nach Hersteller oder Land verschieden sein

Fungizone Dänemark, Deutschland, Finnland, Frankreich, Griechenland, Großbritannien, Indien, Iran, Irland, Italien, Kanada, Kolumbien, Malaysia, Marokko, Neuseeland, Niederlande, Portugal, Schweden, Schweiz, Tunesien, Türkei, Ungarn, Venezuela, Vereinigte Staaten von Amerika
Gemengestabilität   Injektion   Gemengestabilität : Amphotericin B     
Keine Daten

  Mentions Légales