Pēdējā atjaunošana :
27/11/2025
Pretsēnīšu līdzeklis   Amphotericin B  
Injekcija
Acu pilieni Aerosols Mutes skalojamais līdzeklis Orāls šķīdums
Šķīduma stabilitāte Maisījuma stabilitāte Stabilitāti ietekmējoši faktori Saderība Levadīšanas veids Literatūras saraksts pdf
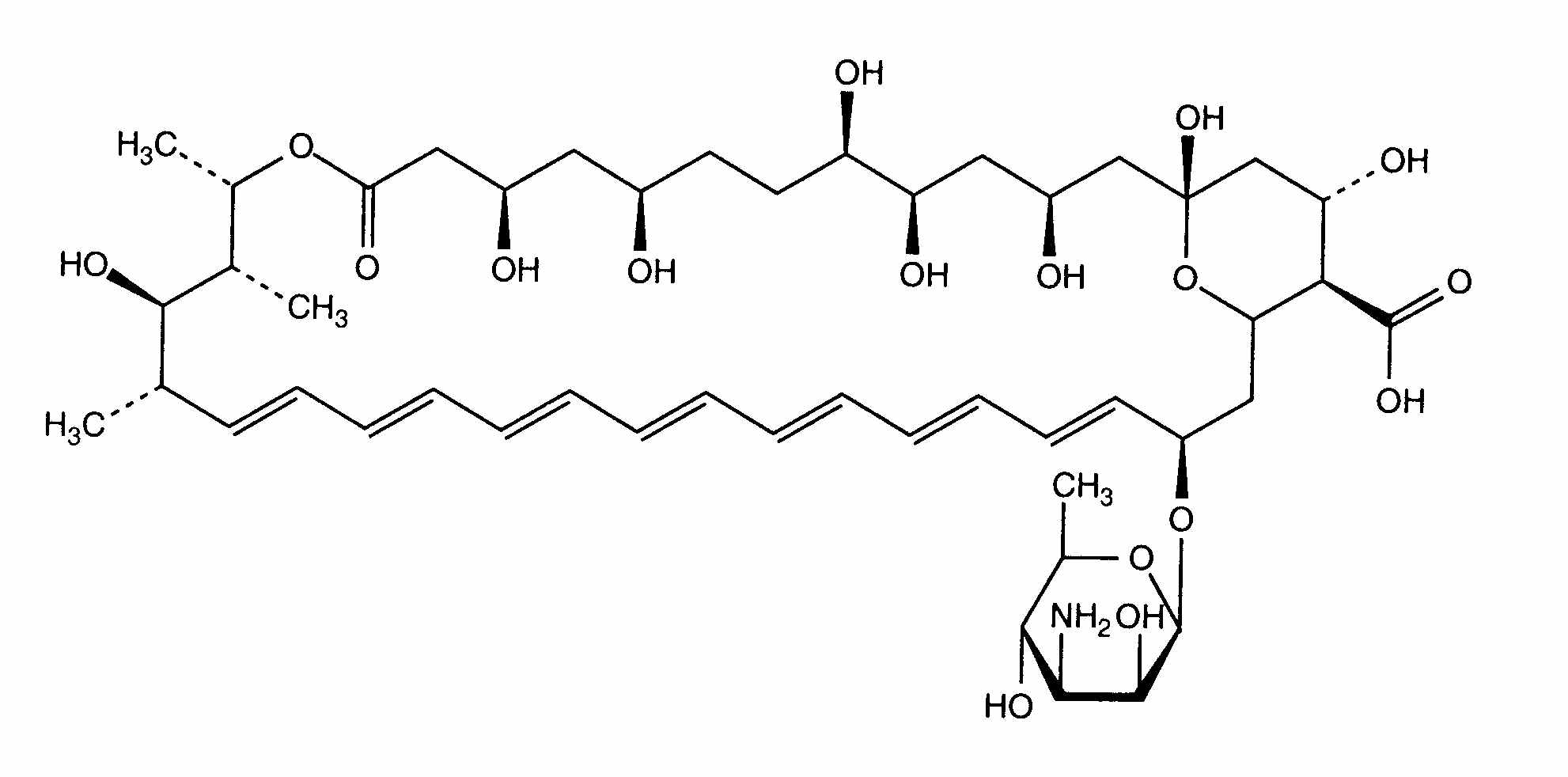
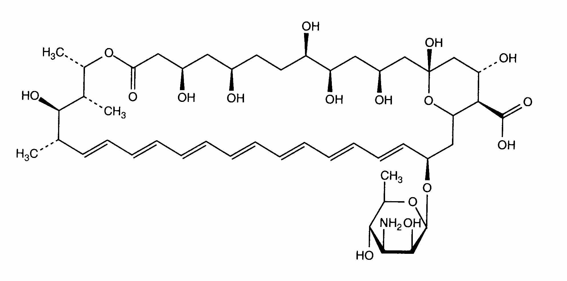
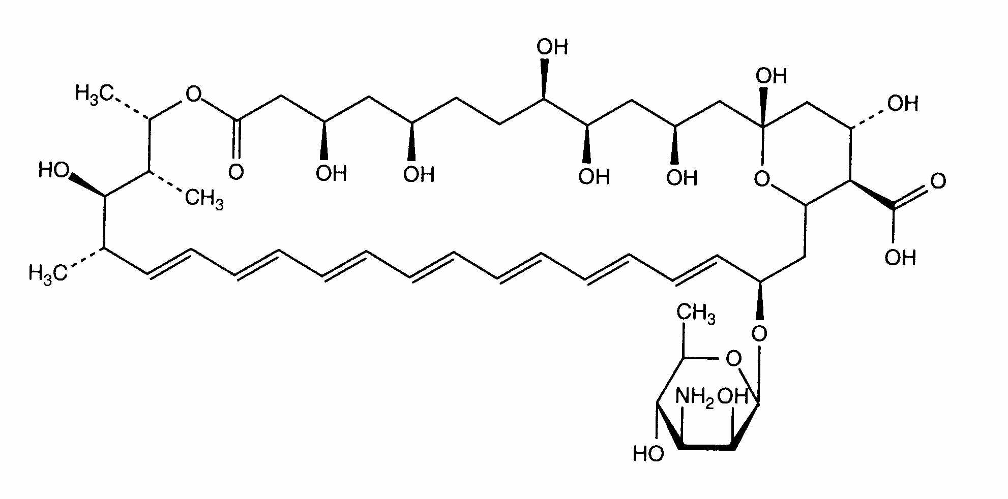
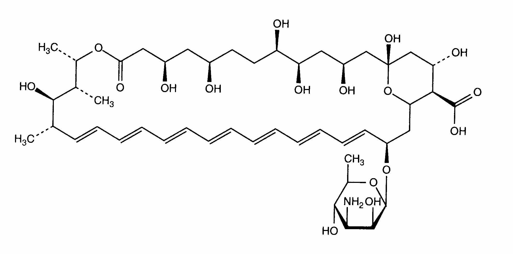
   Ķīmiskā uzbūve   

Oriģinālais nosaukums   Oriģinālais nosaukums     

Tirdzniecības nosaukumi ir apzīmējoši un palīgvielas var atšķirties dažādām valstīm un laboratorijām

Fungizone Amerikas Savienotās Valstis, Dānija, Francija, Grieķija, Holande, Indija, Irāna, Īrija, Itālija, Jaunzēlande, Kanāda, Kolumbija, Lielbritānija, Malaizija, Maroka, Portugāle, Somija, Šveice, Tunisija, Turcija, Ungārija, Vācija, Venecuēla, Zviedrija
Maisījuma stabilitāte   Injekcija   Maisījuma stabilitāte : Amphotericin B     
Nav datu

  Mentions Légales