viimane versioon :
27/11/2025
Seenevastane ravim   Amphotericin B  
Süsteravim
aerosool Silmatilgad suukaudne lahus Suuloputus lahus
Stabiilsus lahustes Stabiilsust mõjutavad tegurid stabiilsust mõjutavad faktorid Sobimatus Manustamis viis Viited pdf
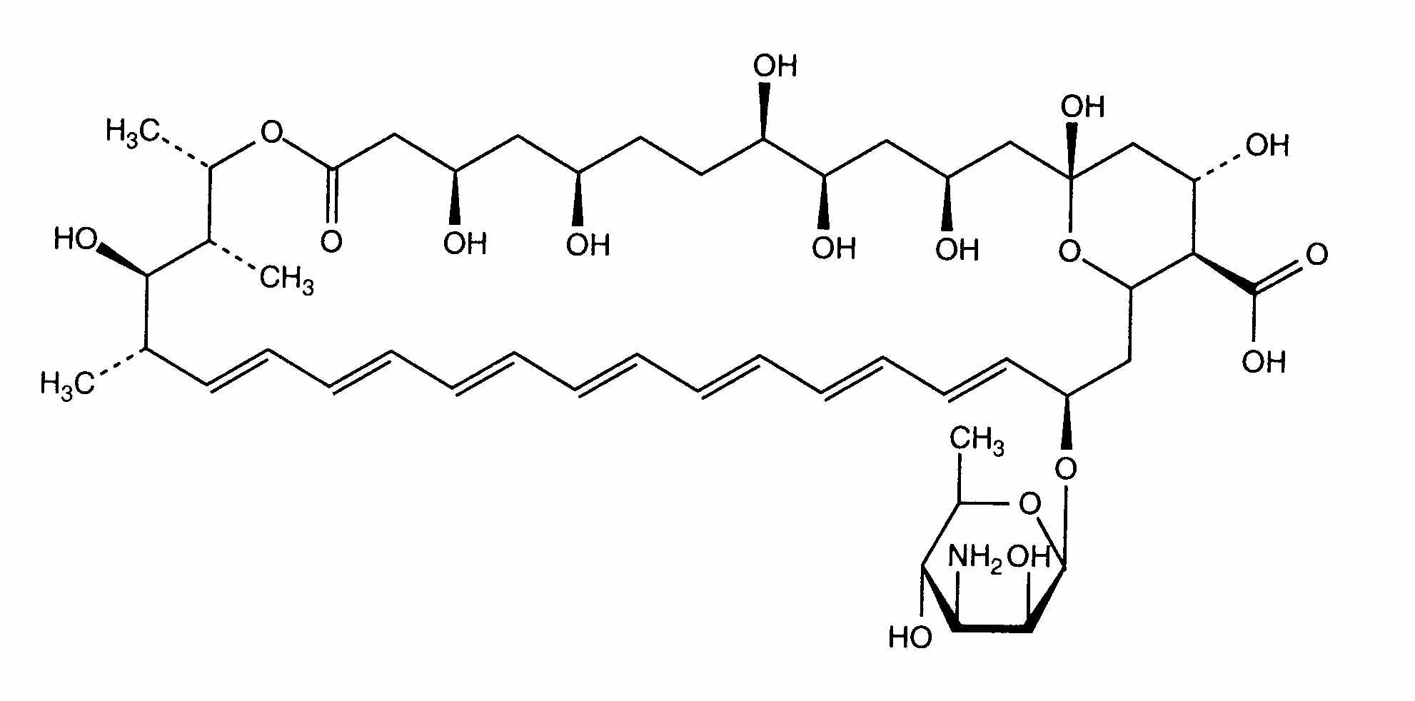
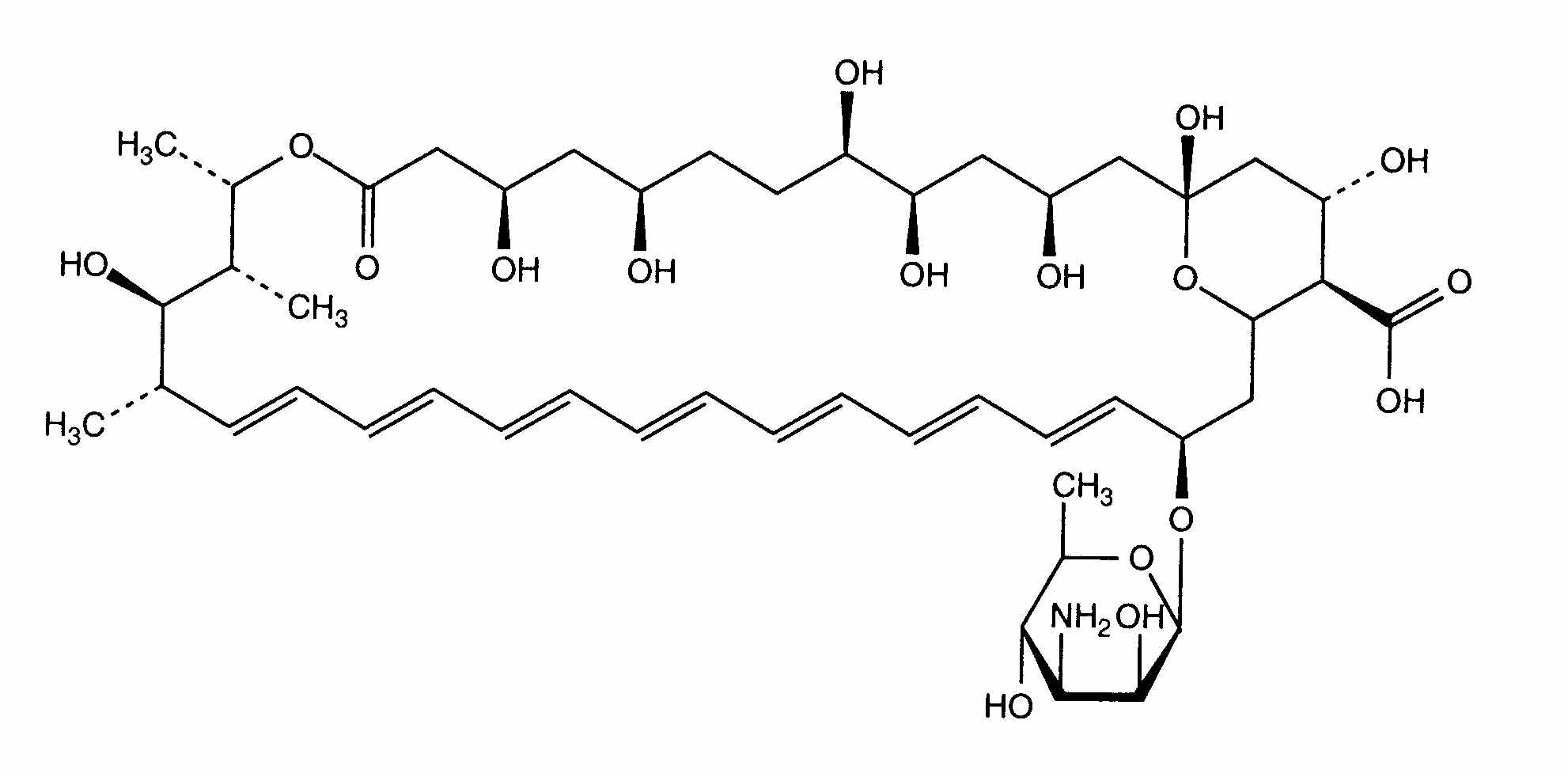
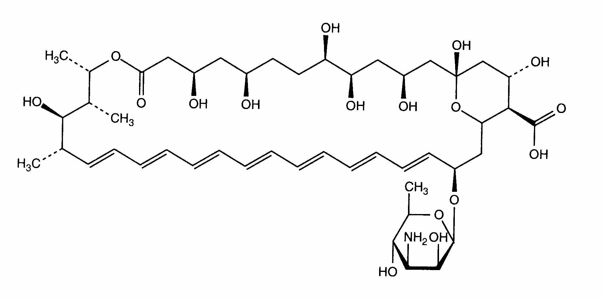
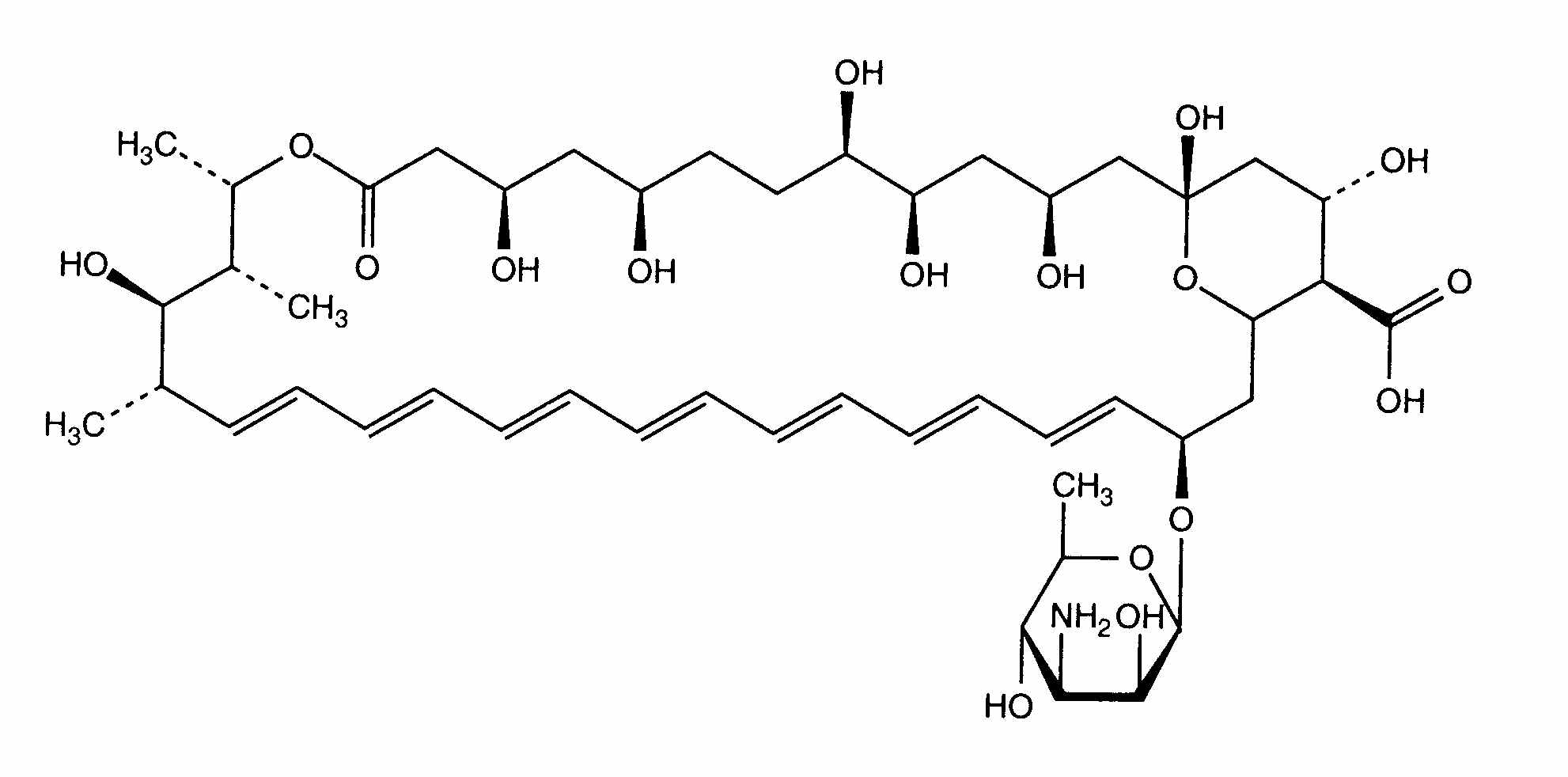
   keemiline struktuur  

Kaubanduslikud nimed erinevates maades   Kaubanduslikud nimed erinevates maades     

Preparaatide nimed on näitlikud ja abianete sisaldus võib erineda sõltuvalt riigist ja laborist

Fungizone Ameerika ühendriigid, Holland, Iirimaa, India, Iraan, Itaalia, Kanada, Kolumbia, Kreeka, Malaisia, Maroko, Portugal, Prantsusmaa, Rootsi, Saksamaa, Soome, Suurbritannia, Sveits, Taani, Tuneesia, Türgi, Ungari, uus-Meremaa, Venetsueela
Stabiilsust mõjutavad tegurid   Süsteravim   Stabiilsust mõjutavad tegurid : Amphotericin B     
andmed puuduvad

  Mentions Légales