Última actualização :
27/11/2025
Antifúngico   Amphotericin B  
injetável
aerossol colutório solução oftálmica Solução Oral
Estabilidade em soluções simples Estabilidade em misturas Factores que afectam a sua estabilidade Compatibilidade Método de administração Bibliografía pdf
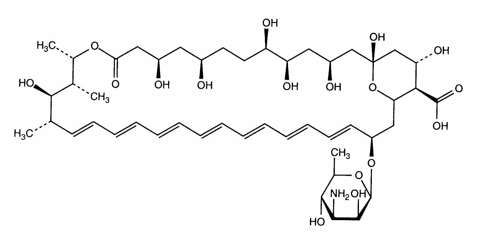
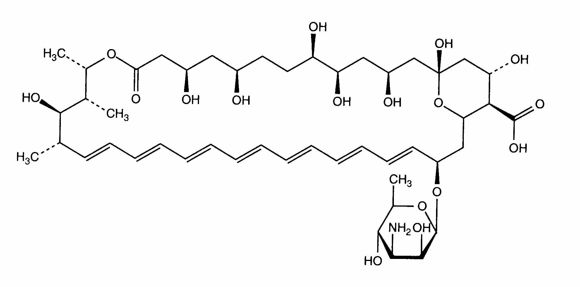
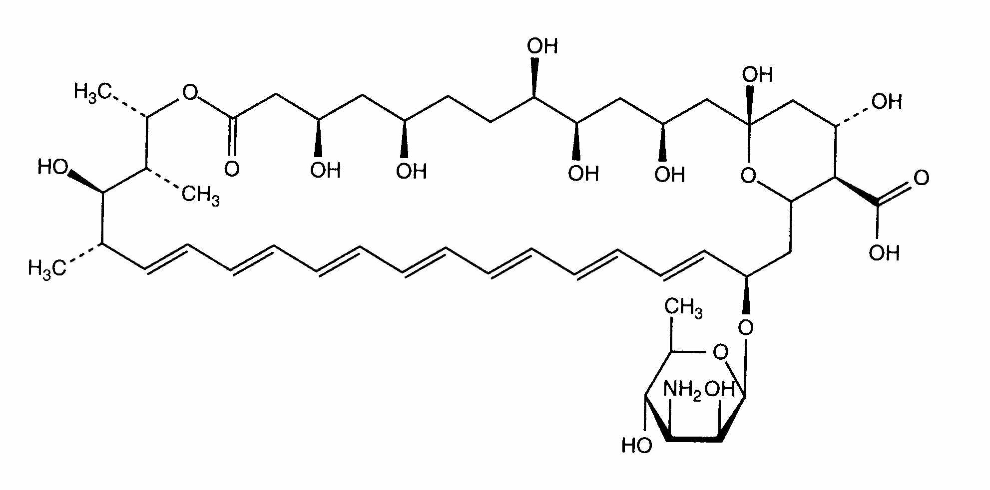
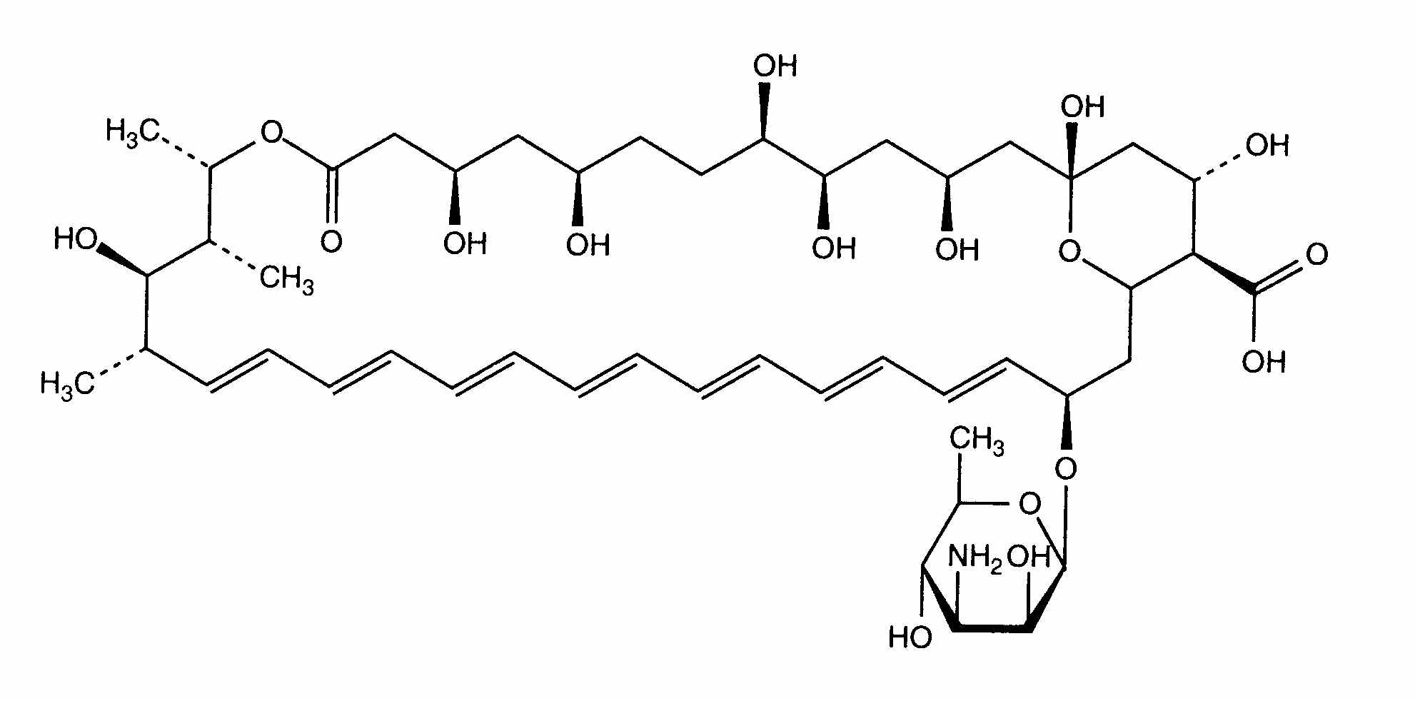
   estrutura química  

Nomes comerciais nos diversos países   Nomes comerciais nos diversos países     

OS NOMES COMERCIAIS SÃO INDICATIVOS E OS EXCIPIENTES DA FORMULAÇÃO PODEM SER DIFERENTES CONFORME O PAÍS E FABRICANTE.

Fungizone Alemanha, Canadá, Colômbia, Dinamarca, Estados Unidos de América, Finlandia, França, Gran-bretanha, Grècia, Hungria, Índia, Irã, Irlanda, Itália, Malásia, Marrocos, nova Zelândia, Países Baixos, Portugal, Suècia, Suicia, Tunísia, Turquia, Venezuela
Estabilidade em misturas   injetável   Estabilidade em misturas : Amphotericin B     
Ausência de dados

  Mentions Légales