Cập nhật lần cuối :
18/03/2026
Thuốc chống nấm   Amphotericin B   
Dung dịch uống
Dạng tiêm Khí dung Thuốc nhỏ mắt Thuốc súc miệng
Tính ổn định của các chế phẩm Độ ổn định khi trộn lẫn Những yếu tố ảnh hưởng đến độ ổn định Khả năng tương thích Tài liệu tham khảo Pdf
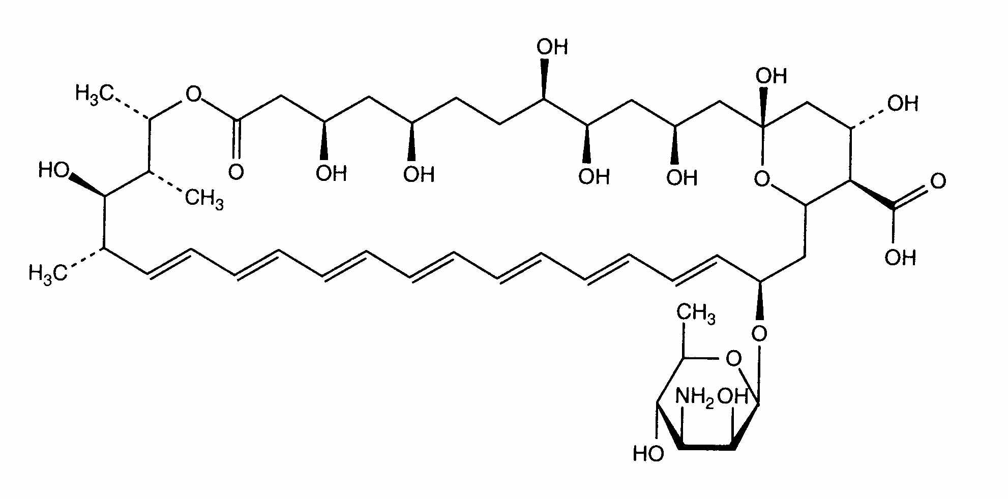
   Cấu trúc hóa học  

Dung dịch uống
Tính ổn định của các chế phẩm   Dung dịch uống   Tính ổn định của các chế phẩm : Amphotericin B      
Bao bì Nguyên bản Tá dược Nhiệt độ Bảo quản Thời gian ổn định Mục lục
Lọ nhựa Bột 30 g
Amphotericin B
Na2HPO4 4.77 g
NaH2PO4 2.88 g
Natri benzoat 300 mg
Natri metabisulfit 450 mg
acid citric 2.25 g
Carboxymethylcellulose 1% 37.5 ml
Methyl benzoat POH 300 mg
Propyl benzoat POH 60 mg
Hương anh đào 1.2 ml
Propylen glycol 3 ml
acid citric >> pH 4.3
Nước tinh khiết >> 300 ml
22-25°C Tránh ánh sáng
93 Ngày
2940


  Mentions Légales