Siste oppdatering :
18/03/2026
Infostab
Lister
Sammendrag
Søk etter kompatibilitet
Y-side kompatibilitetstabell
Referanser
Forskerteamet
valistab
plakat
Tilkoblinger
sponsorer
Forfatter
Instruksjon
Nyhetsbrev
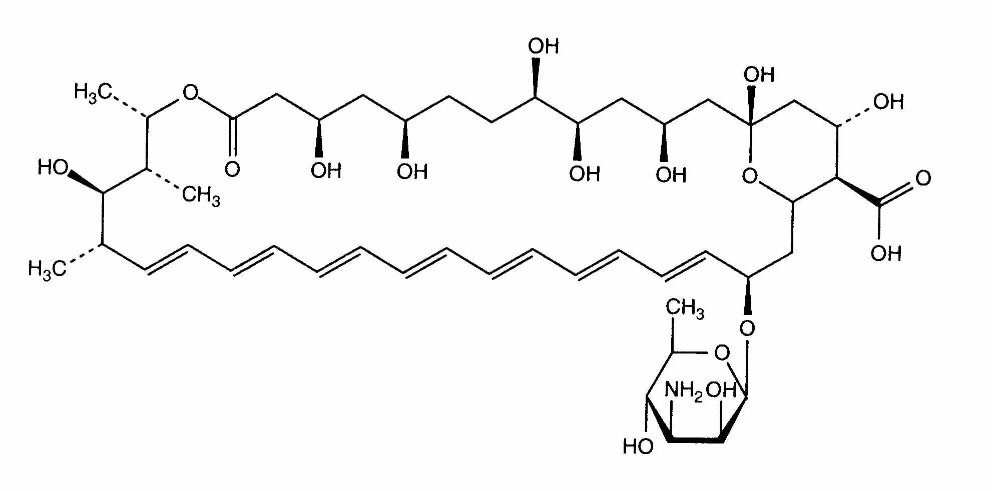
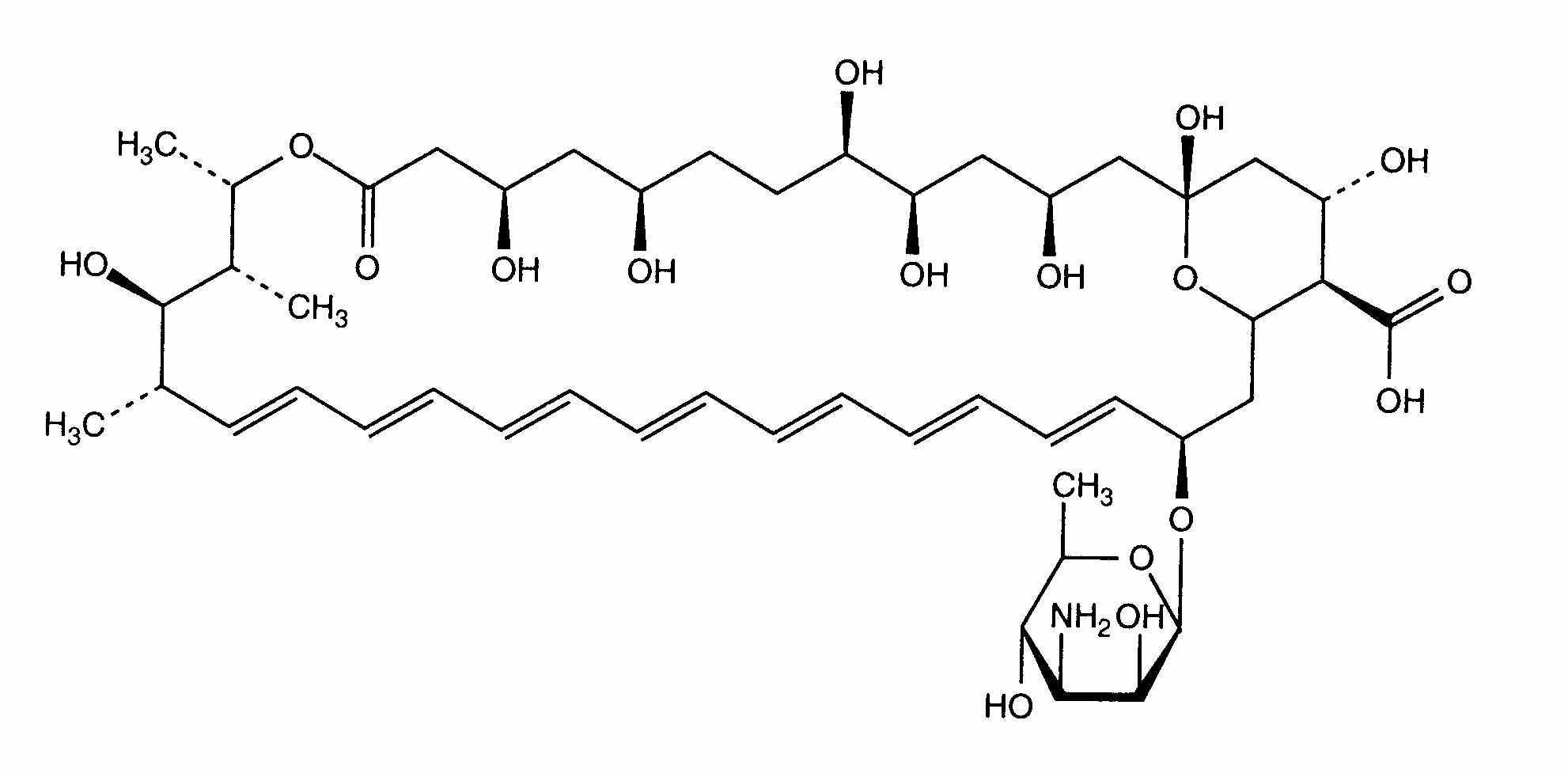
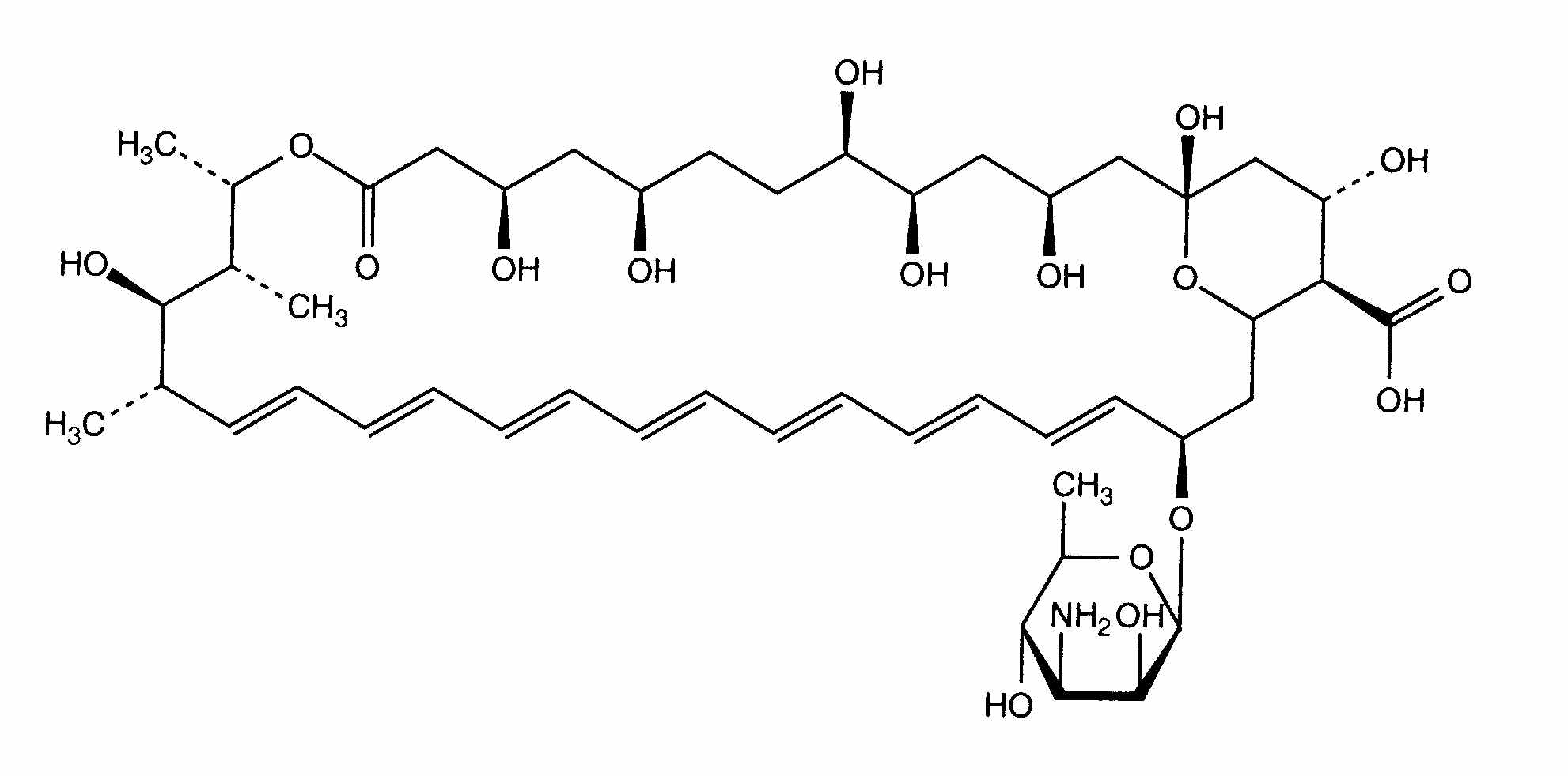
Amphotericin B
Kjemisk struktur
Stabilitet av farmasøytiske preparater : Amphotericin B
30 g
Amphotericin B
Na2HPO4
4.77 g
NaH2PO4
2.88 g
Natriumbenzoat
300 mg
Natriummetabisulfitt
450 mg
Sitronsyre
2.25 g
Karboksymetylcellulose
1% 37.5 ml
Metylparaben
300 mg
Propylparaben
60 mg
Kirsebærsmak
1.2 ml
Propylenglykol
3 ml
Sitronsyre
>> pH 4.3
Renset vann
>> 300 ml
22-25°C
93
2940
Mentions Légales