Poslední aktualizace :
18/03/2026
Priešgrybelinis vaistas   Amphotericin B   
Geriamas tirpalas
Aerozolis Akių lašai Įpurškimas Skystis burnai skalauti
Stabilumas farmacinių preparatų Mišinių stabilumas Stabilumą lemiantys veiksniai Suderinamumas Bibliografija pdf
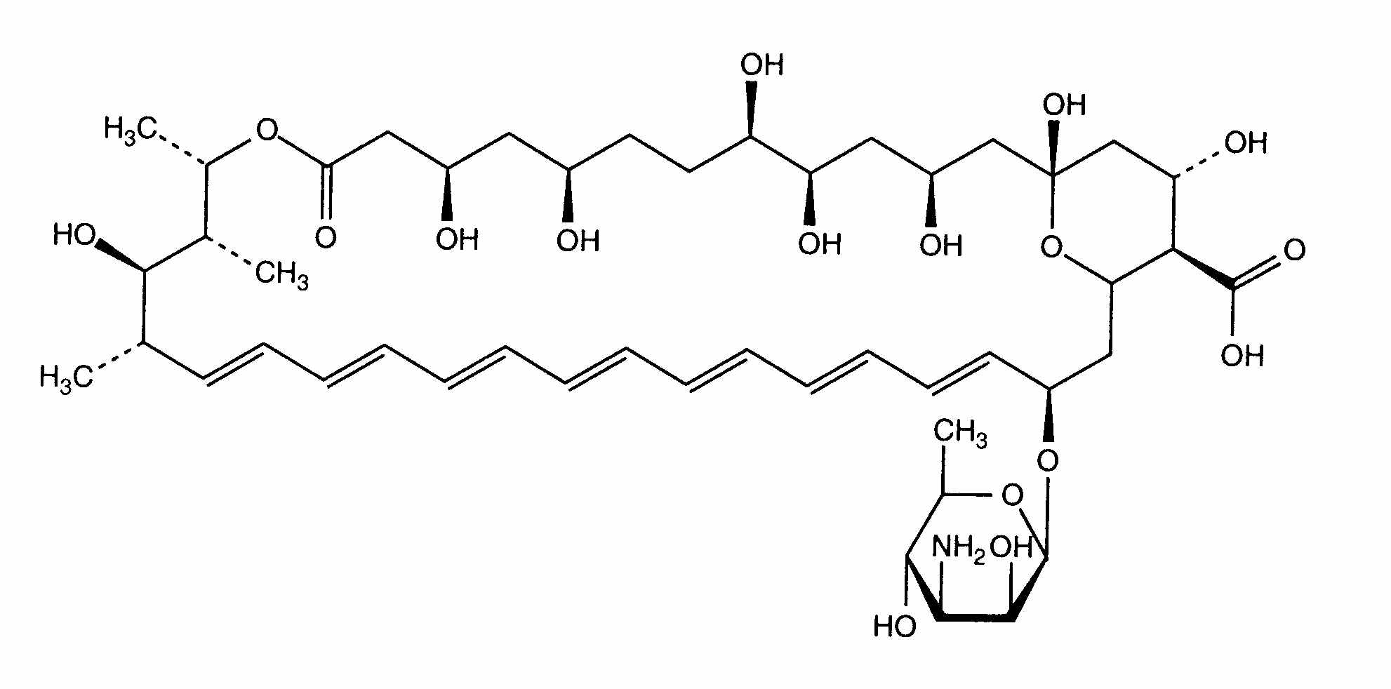
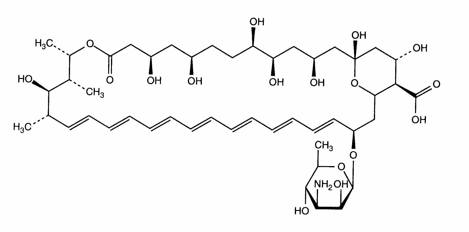
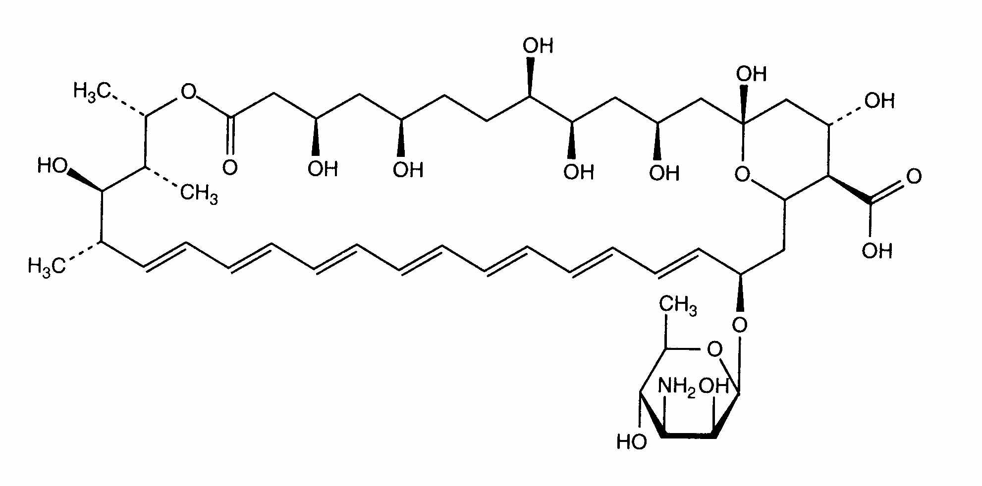
   Cheminė sandara  

Geriamas tirpalas
Stabilumas farmacinių preparatų   Geriamas tirpalas   Stabilumas farmacinių preparatų : Amphotericin B      
Pakuotė Origine Ekscipientas Temperatūra Laikymas Stabilumo trukmė Nuorodos
Plastikinis butelis Milteliai 30 g
Amphotericin B
Na2HPO4 4.77 g
NaH2PO4 2.88 g
Natrio benzoatas 300 mg
Natrio metabisulfitas 450 mg
Citrinos rūgštis 2.25 g
Karboksimetilceliuliozė 1% 37.5 ml
Metilparabenas 300 mg
Propilparabenas 60 mg
Vyšnios skonio 1.2 ml
Propilenglikolis 3 ml
Citrinos rūgštis >> pH 4.3
Išvalytas vanduo >> 300 ml
22-25°C Apsaugotas nuo šviesos
93 Diena
2940


  Mentions Légales