Останнє оновлення :
18/03/2026
Протигрибковий   Amphotericin B   
Розчин для перорального застосування
ін'єкція аерозоль Ополіскувач ротової порожнини Очні краплі
Стабільність фармацевтичних препаратів Стійкість сумішей Фактори, що впливають на стабільність Сумісність Список літератури pdf
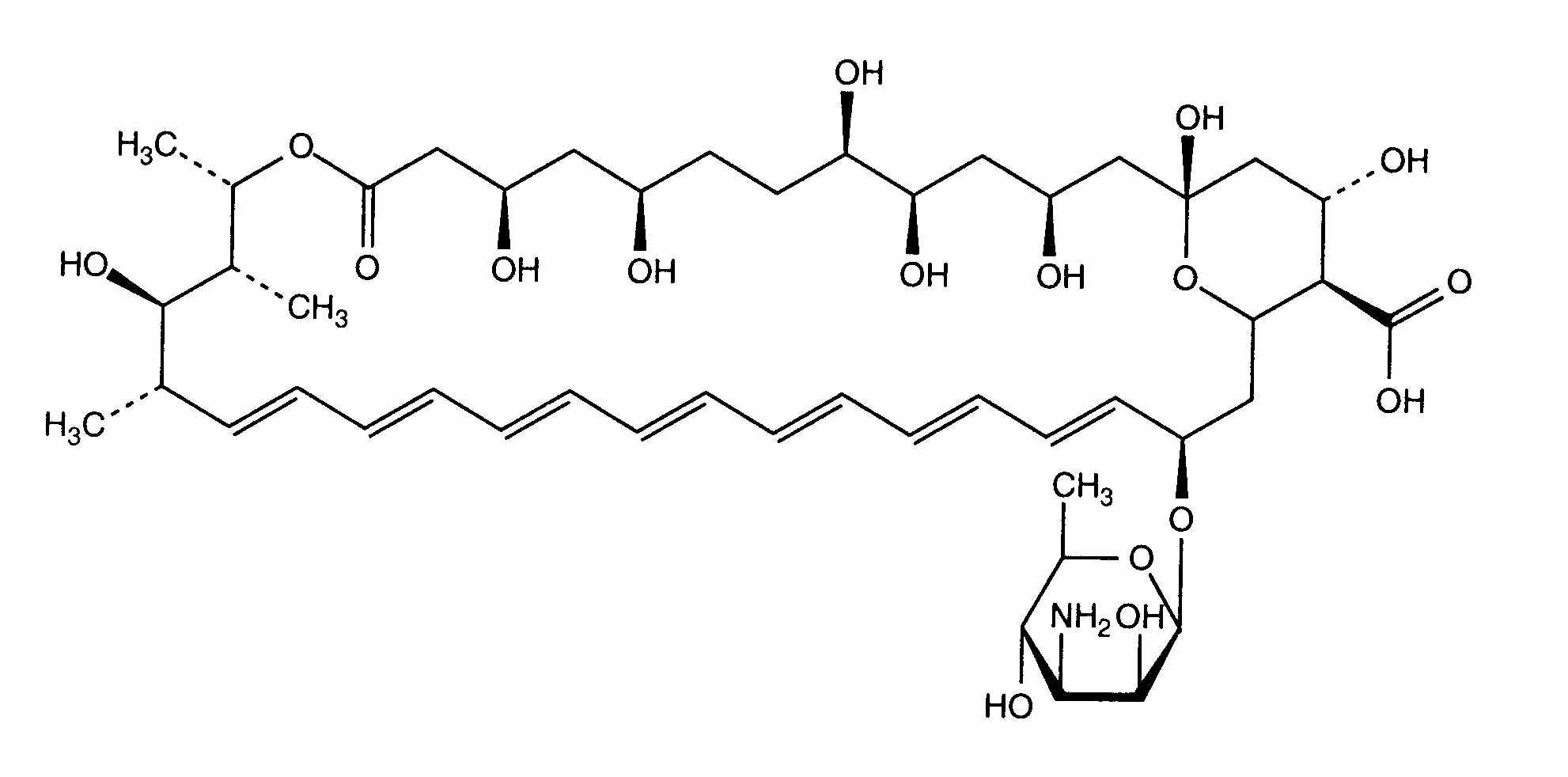
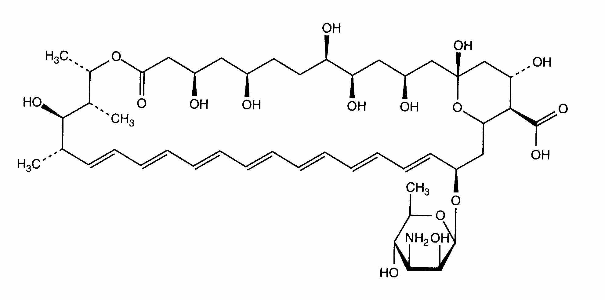
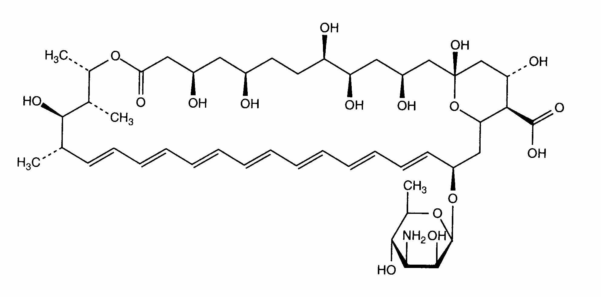
   Хімічна структура  

Розчин для перорального застосування
Стабільність фармацевтичних препаратів   Розчин для перорального застосування   Стабільність фармацевтичних препаратів : Amphotericin B      
Контейнер Origine допоміжна речовина температура Зберігання Тривалість стабільності Список літератури
пластикова пляшка powder 30 g
Amphotericin B
Na2HPO4 4.77 g
NaH2PO4 2.88 g
Бензоат натрію 300 mg
Метабісульфіт натрію 450 mg
Лимонна кислота 2.25 g
Карбоксиметилцелюлоза 1% 37.5 ml
метилпарабен 300 mg
Пропілпарабен 60 mg
вишневий смак 1.2 ml
пропіленгліколь 3 ml
Лимонна кислота >> pH 4.3
Очищена вода >> 300 ml
22-25°C Берегти від світла
93 День
2940


  Mentions Légales