Viimeisin päivitys :
18/03/2026
Infostab
Luettelo yhdisteistä
Yhteenveto-luettelot
Etsi yhteensopivuutta
Y-sivuston yhteensopivuustaulukko
Viitteet
tutkimus Joukkueet
valistab
ilmoitus
Liitännät
sponsorit
Tekijät
Käyttöohje
Uutiskirje
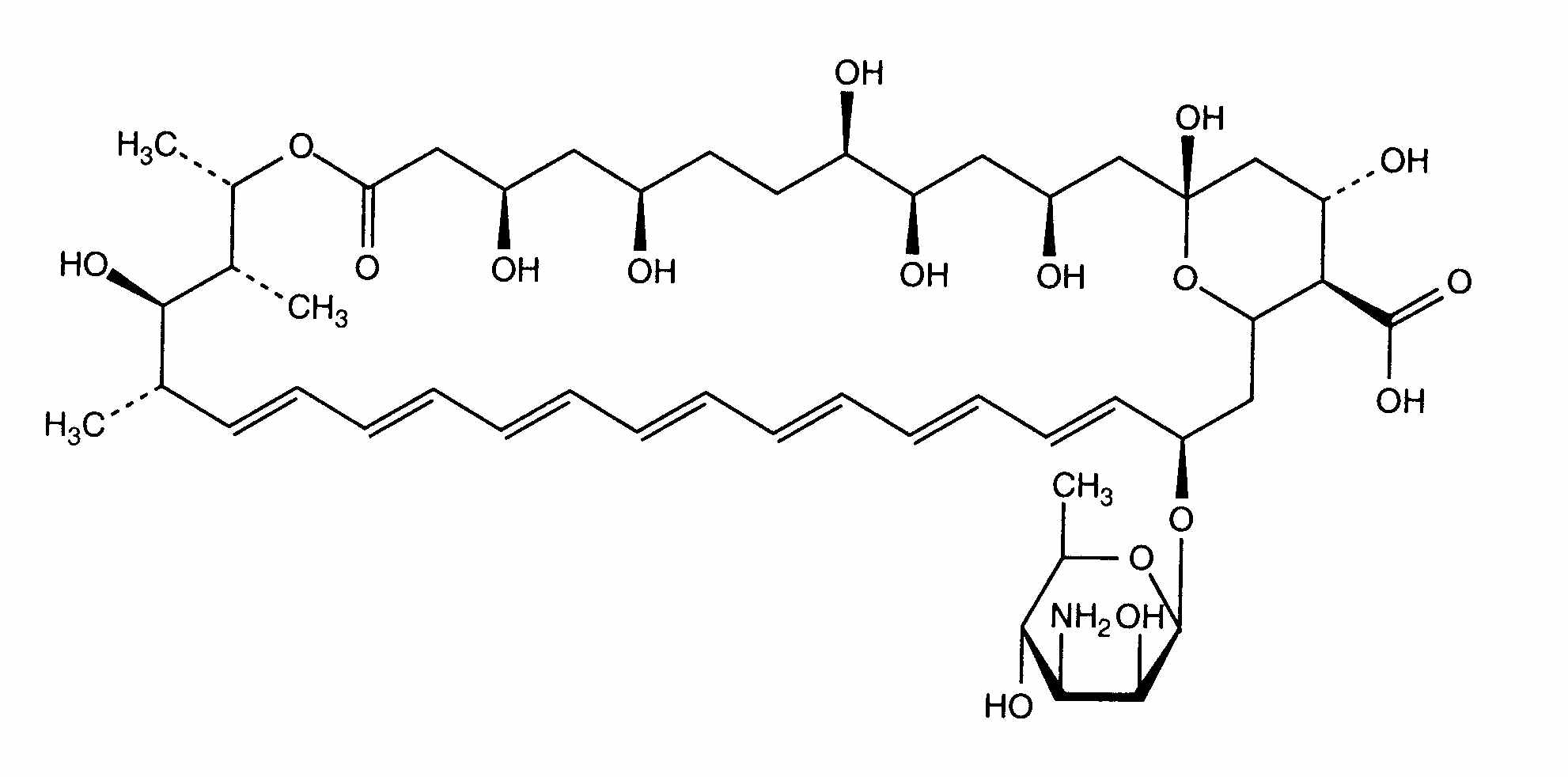
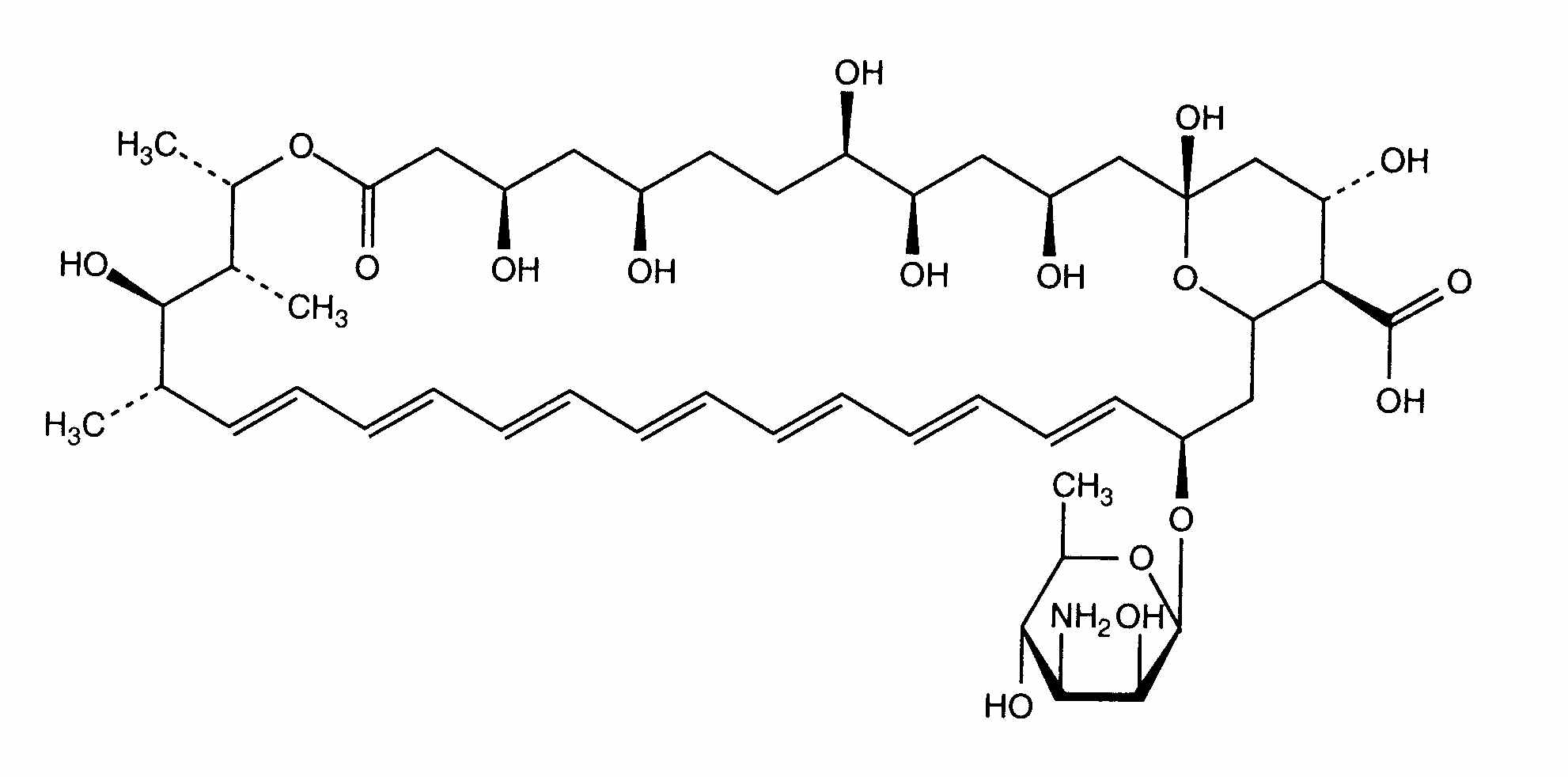
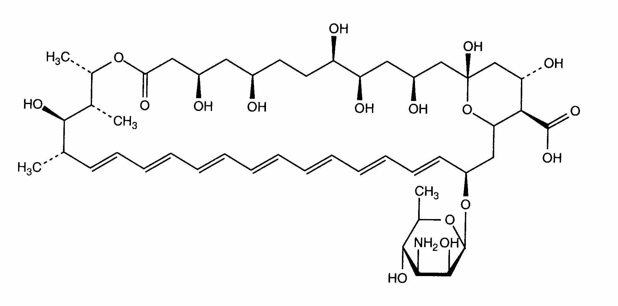
Amphotericin B
Kemiallinen rakenne
Vakaus lääkevalmisteen : Amphotericin B
30 g
Amphotericin B
Na2HPO4
4.77 g
NaH2PO4
2.88 g
Natriumbentsoaatti
300 mg
Natriummetabisulfiitti
450 mg
Sitruunahappo
2.25 g
Karboksimetyyliselluloosa
1% 37.5 ml
Metyyliparabeeni
300 mg
Propyyliparabeeni
60 mg
Kirsikka-aromi
1.2 ml
Propyleeniglykoli
3 ml
Sitruunahappo
>> pH 4.3
Puhdistettu vesi
>> 300 ml
22-25°C
93
2940
Mentions Légales