最新更新 :
18/03/2026
Infostab
薬剤一覧
まとめ一覧
互換性の検索
Yサイト対応表
引用文献
研究チーム
valistab
ポスター
接続
スポンサー
作成者
ユーザーガイド
ニュースレター
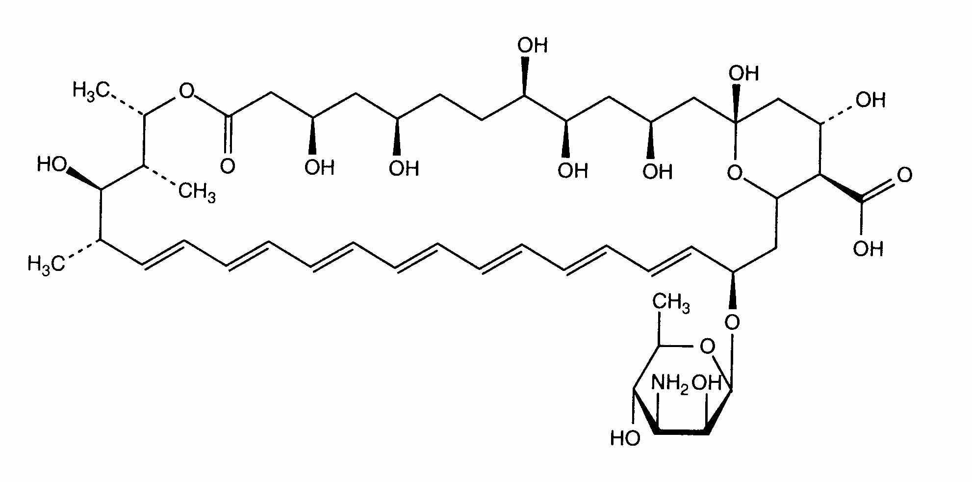
Amphotericin B
化学構造
調剤時の安定性 : Amphotericin B
30 g
Amphotericin B
Na2HPO4
4.77 g
NaH2PO4
2.88 g
安息香酸ナトリウム
300 mg
メタ重亜硫酸ナトリウム
450 mg
クエン酸
2.25 g
カルボキシメチルセルロース
1% 37.5 ml
メチルパラベン
300 mg
プロピルパラベン
60 mg
チェリー風味
1.2 ml
プロピレングリコール
3 ml
クエン酸
>> pH 4.3
精製水
>> 300 ml
22-25°C
93
2940
Mentions Légales