Last update :
18/03/2026
Infostab
List of drugs
Summary lists
Search for compatibilities
Y-site compatibility table
References
Research teams
valistab
Poster
Links
Sponsors
Authors
User’s guide
Newsletter
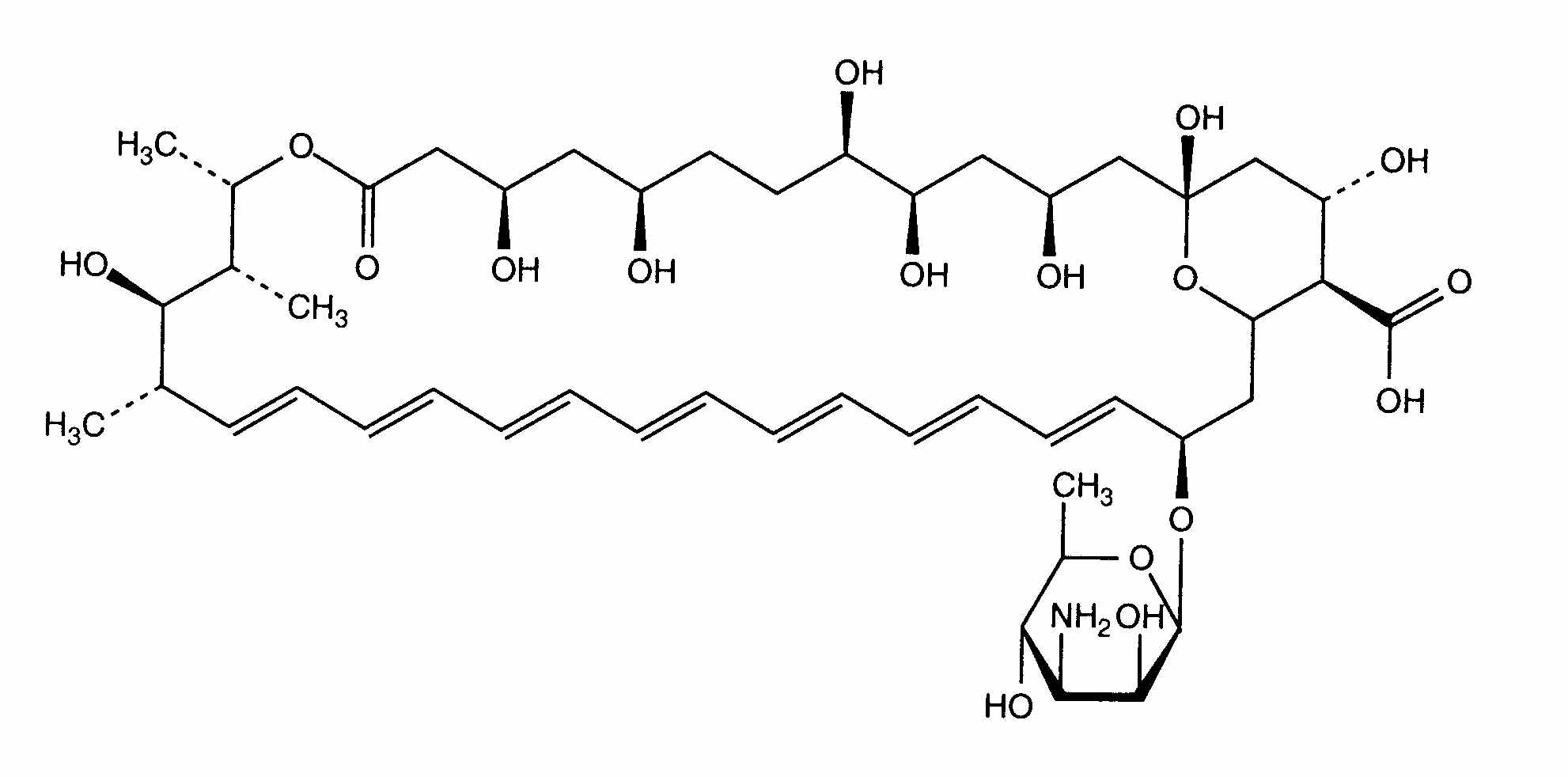
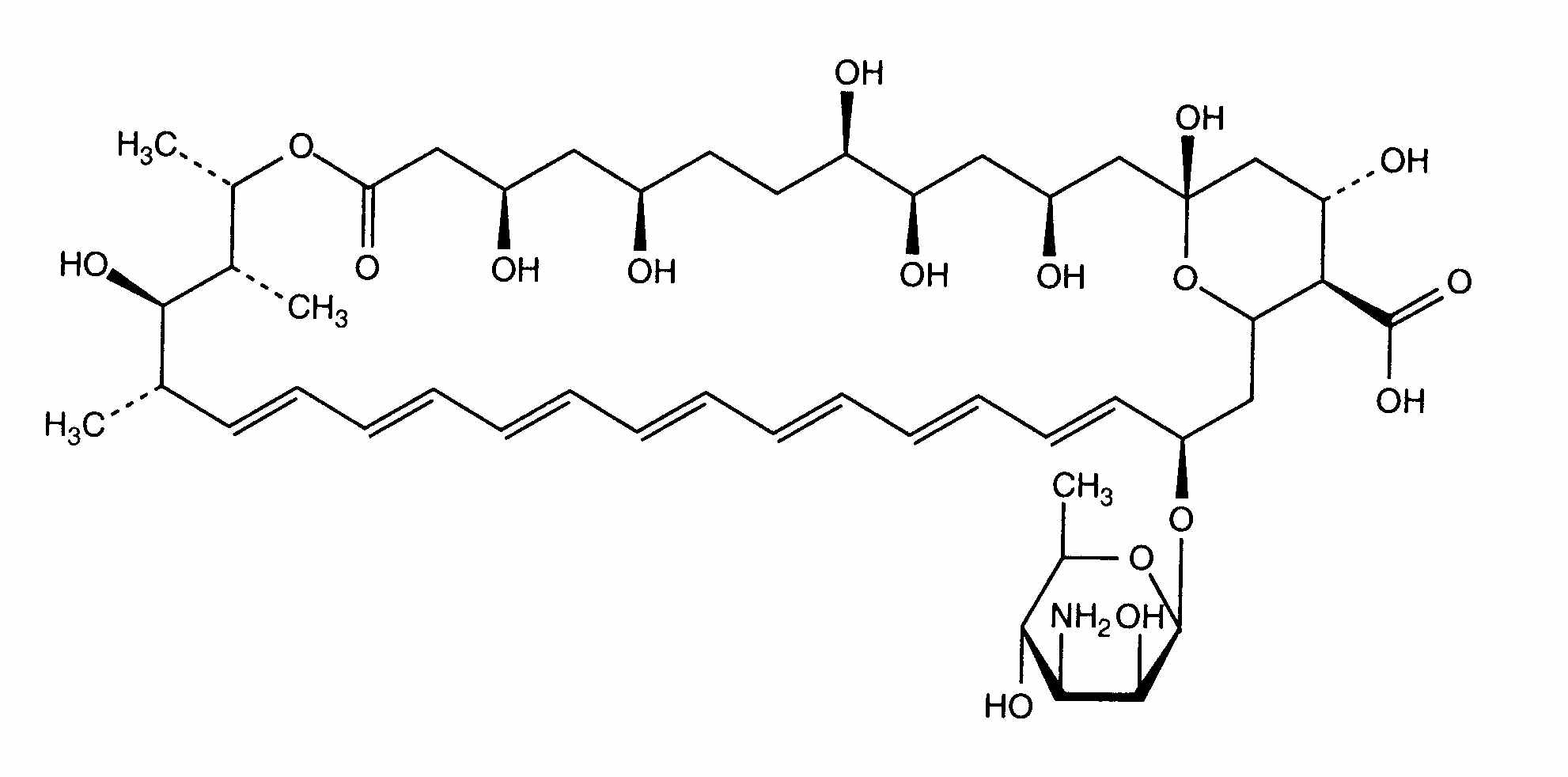
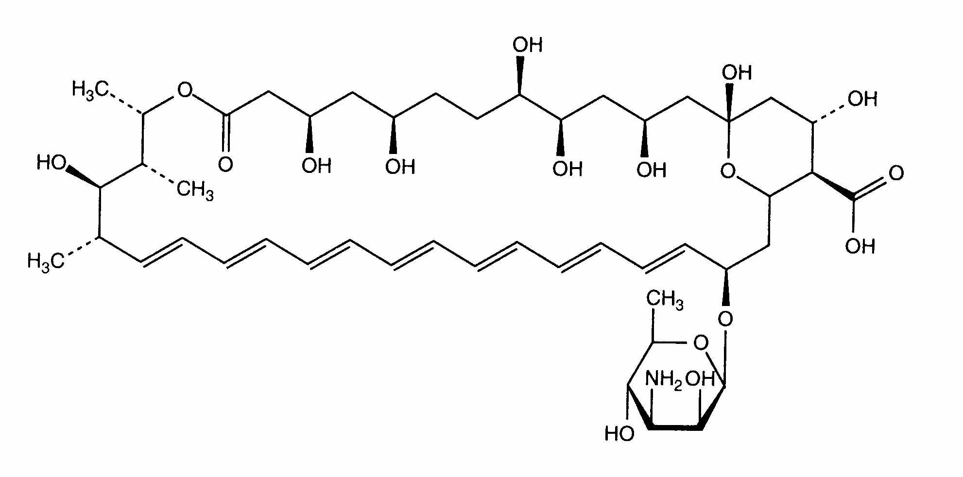
Amphotericin B
Chemical structure
Stability of pharmaceutical preparations : Amphotericin B
30 g
Amphotericin B
Na2HPO4
4.77 g
NaH2PO4
2.88 g
Sodium benzoate
300 mg
Sodium metabisulfite
450 mg
Citric acid
2.25 g
Carboxymethylcellulose
1% 37.5 ml
methylparaben
300 mg
Propylparaben
60 mg
cherry flavor
1.2 ml
propylene glycol
3 ml
Citric acid
>> pH 4.3
Purified water
>> 300 ml
22-25°C
93
2940
Mentions Légales