Pēdējā atjaunošana :
18/03/2026
Pretsēnīšu līdzeklis   Amphotericin B   
Orāls šķīdums
Acu pilieni Aerosols Injekcija Mutes skalojamais līdzeklis
Stabilitāte farmaceitisko preparātu Maisījuma stabilitāte Stabilitāti ietekmējoši faktori Saderība Literatūras saraksts pdf
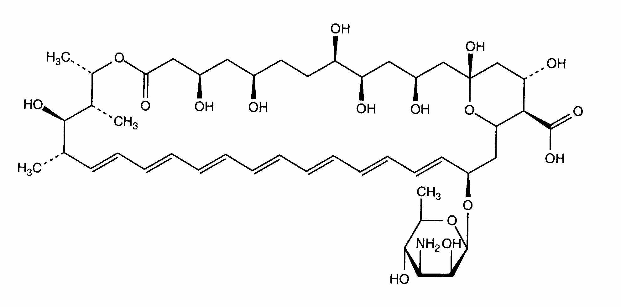
   Ķīmiskā uzbūve   

Orāls šķīdums
Stabilitāte farmaceitisko preparātu   Orāls šķīdums   Stabilitāte farmaceitisko preparātu : Amphotericin B      
Iepakojums Origine Palīgviela Temperatūra Glabāšana Stabilitātes ilgums Literatūras saraksts
Plastmasas pudele Pūderis 30 g
Amphotericin B
Na2HPO4 4.77 g
NaH2PO4 2.88 g
Nātrija benzoāts 300 mg
Nātrija metabisulfīts 450 mg
Citronskābe 2.25 g
Karboksimetilceluloze 1% 37.5 ml
Metilparabēns 300 mg
Propilparabēns 60 mg
Ķiršu garša 1.2 ml
propilēnglikols 3 ml
Citronskābe >> pH 4.3
Attīrīts ūdens >> 300 ml
22-25°C Aizsargāt no gaismas
93 Diena
2940


  Mentions Légales