最新更新 :
18/03/2026
抗真菌药   Amphotericin B   
口服剂
气雾剂 注射液 漱口水 眼药水
制剂的稳定性 混合物稳定性 影响稳定性的因素 兼容性 引用文献 PDF
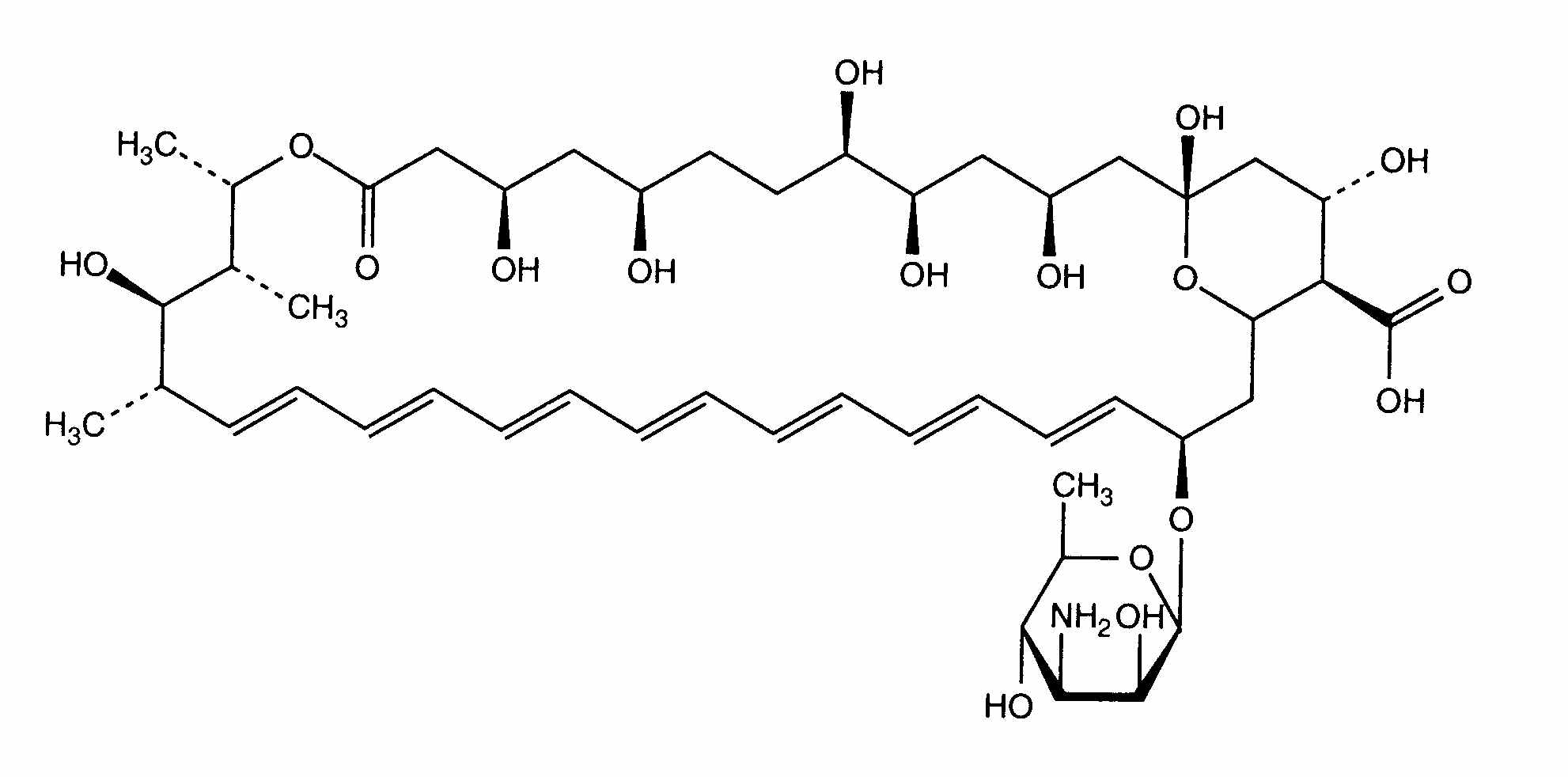
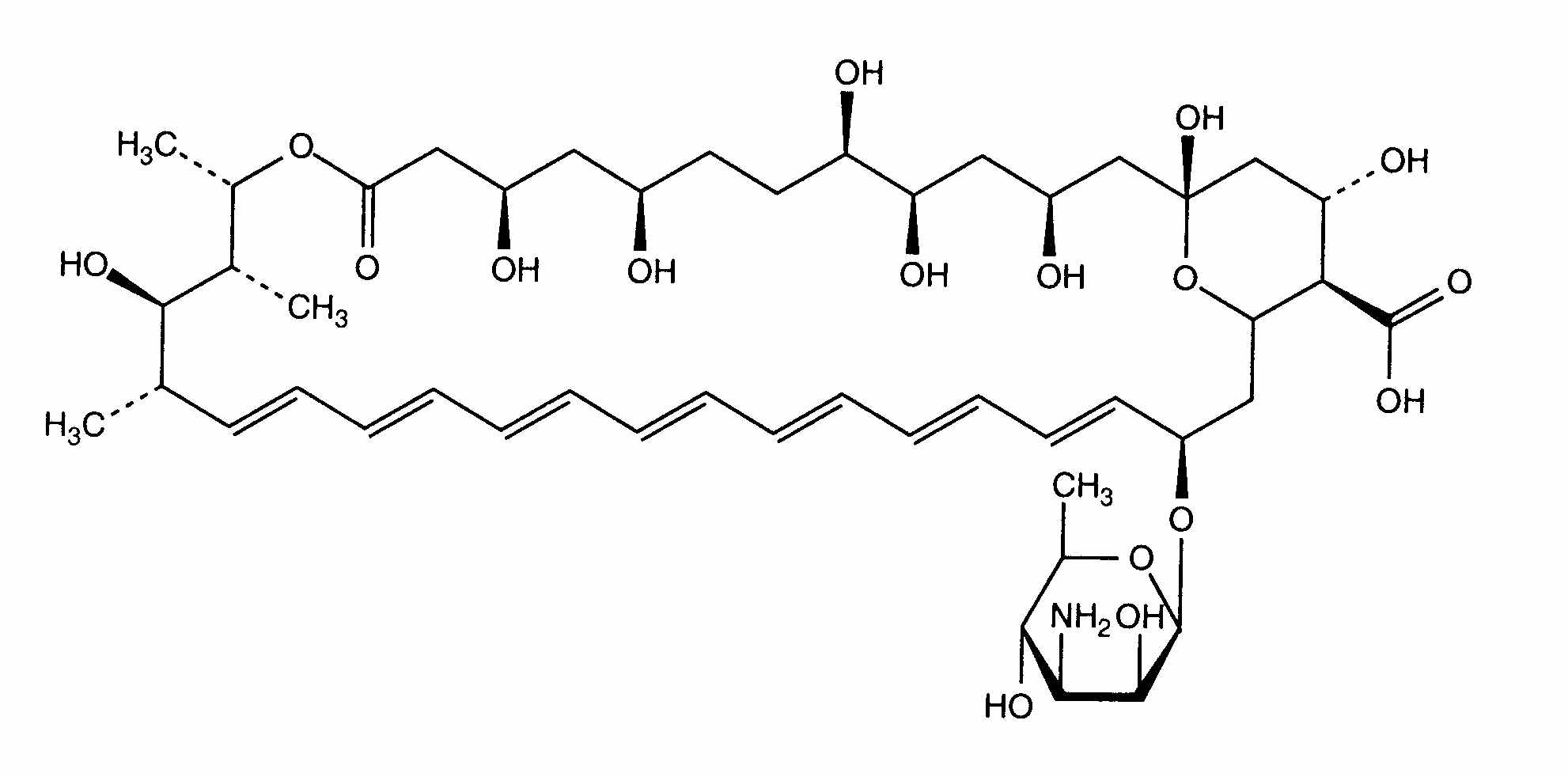
   化学式  

口服剂
制剂的稳定性   口服剂   制剂的稳定性 : Amphotericin B      
容器 Origine 添加剂 温度 保存 穩定持續時間 引用文献
塑料瓶 粉剂 30 g
Amphotericin B
Na2HPO4 4.77 g
NaH2PO4 2.88 g
苯甲酸钠 300 mg
焦亚硫酸钠 450 mg
柠檬酸 2.25 g
羧甲基纤维素 1% 37.5 ml
对羟基苯甲酸甲酯 300 mg
对羟基苯甲酸丙酯 60 mg
樱桃口味 1.2 ml
丙二醇 3 ml
柠檬酸 >> pH 4.3
净化水 >> 300 ml
22-25°C 避光
93 白天
2940


  Mentions Légales