Τελευταία ενημέρωση :
05/12/2025
Αντιμυκητικό   Amphotericin B   
Πόσιμο διάλυμα
Αεροζόλ Ενέσιμο Οφθαλμικές σταγόνες Στοματικό διάλυμα
Σταθερότητα και συμβατότητα των φαρμάκων Σταθερότητα σε μίγματα Παράγοντας που επηρεάζει τη σταθερότητα Συμβατότητες Βιβλιογραφία pdf
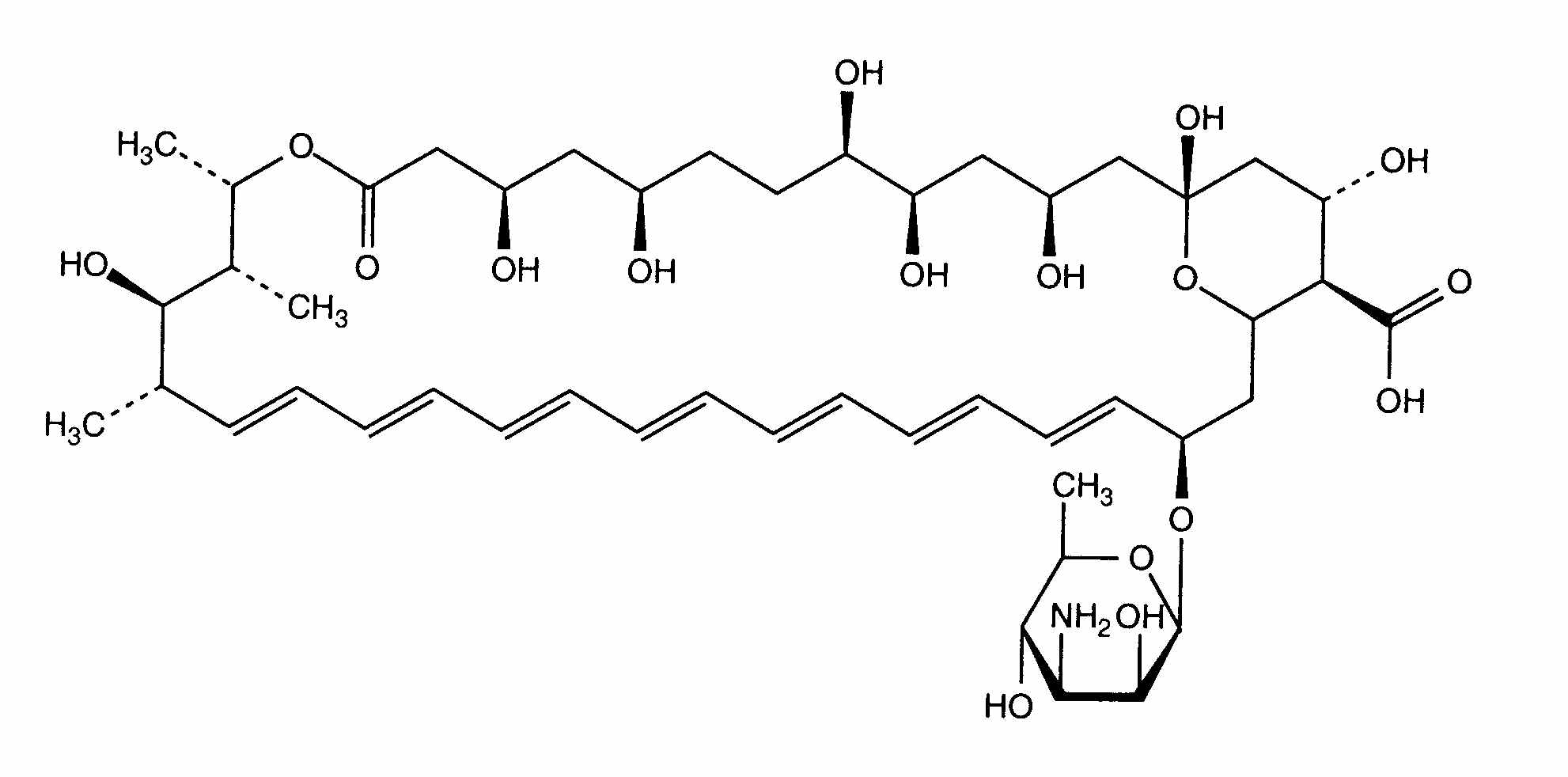
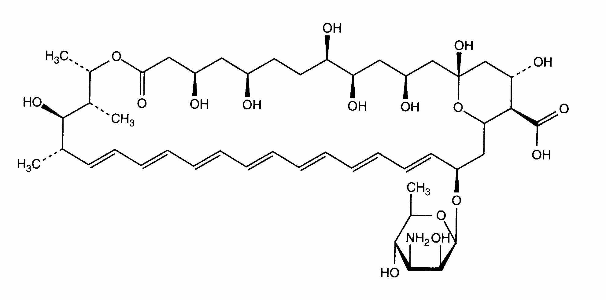
   χημική δομή  

Πόσιμο διάλυμα
Σταθερότητα και συμβατότητα των φαρμάκων   Πόσιμο διάλυμα   Σταθερότητα και συμβατότητα των φαρμάκων : Amphotericin B      
Υποδοχέας Origine Έκδοχο Θερμοκρασία Αποθήκευση Διάρκεια σταθερότητας Βιβλιογραφία
Πλαστικό μπουκάλι Σκόνη 30 g
Amphotericin B
Na2HPO4 4.77 g
NaH2PO4 2.88 g
Βενζοϊκό νάτριο 300 mg
Μεταδιθειώδες νάτριο 450 mg
Κιτρικό οξύ 2.25 g
Καρβοξυμεθυλοκυτταρίνη 1% 37.5 ml
Μεθυλπαραμπέν 300 mg
Προπυλπαραμπέν 60 mg
Γεύση κεράσι 1.2 ml
Προπυλενογλυκόλη 3 ml
Κιτρικό οξύ >> pH 4.3
Κεκαθαρμένο νερό >> 300 ml
22-25°C Προστατεύετε από το φως
93 Ημέρα
2940


  Mentions Légales