Seneste opdatering :
18/03/2026
Infostab
Lister
Bversigter
Søg efter kompatibilitet
Y-site kompatibilitetstabel
Bibliografi
forskerhold
valistab
Poster
Links
sponsorer
Forfatter
Brugervejledning
Nyhedsbrev
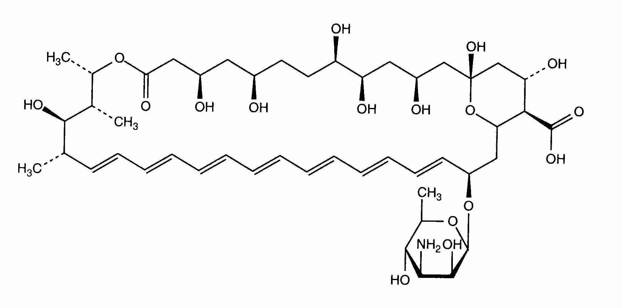
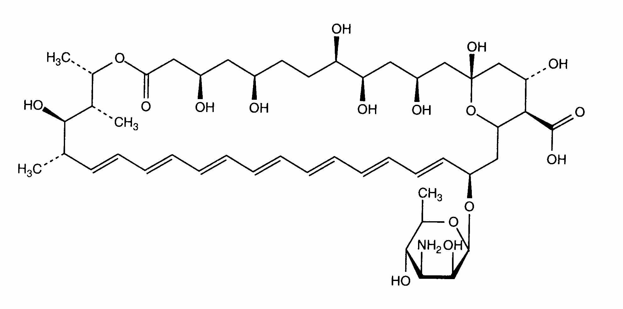
Amphotericin B
Kemisk struktur
Stabilitet af farmaceutiske tilberedninger : Amphotericin B
30 g
Amphotericin B
Na2HPO4
4.77 g
NaH2PO4
2.88 g
Natriumbenzoat
300 mg
Natriummetabisulfit
450 mg
Citronsyre
2.25 g
Carboxymethylcellulose
1% 37.5 ml
Methylparaben
300 mg
Propylparaben
60 mg
Kirsebæraroma
1.2 ml
Propylenglycol
3 ml
Citronsyre
>> pH 4.3
Renset vand
>> 300 ml
22-25°C
93
2940
Mentions Légales