Cập nhật lần cuối :
27/11/2025
Kháng sinh   Tobramycin sulfate   
Thuốc nhỏ mắt
Dạng tiêm Dung dịch uống Khí dung
Tính ổn định của các chế phẩm Độ ổn định khi trộn lẫn Những yếu tố ảnh hưởng đến độ ổn định Khả năng tương thích Tài liệu tham khảo Pdf
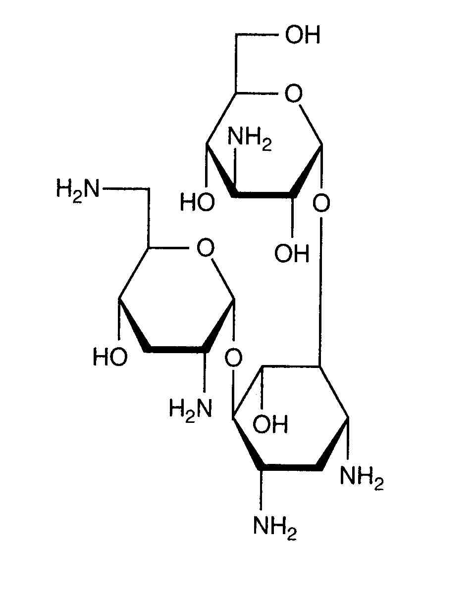
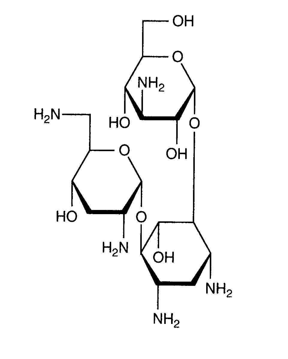
   Cấu trúc hóa học  

Thuốc nhỏ mắt
Khả năng tương thích   Thuốc nhỏ mắt   Khả năng tương thích : Tobramycin sulfate               
Không có dữ liệu

  Mentions Légales