Última actualização :
27/11/2025
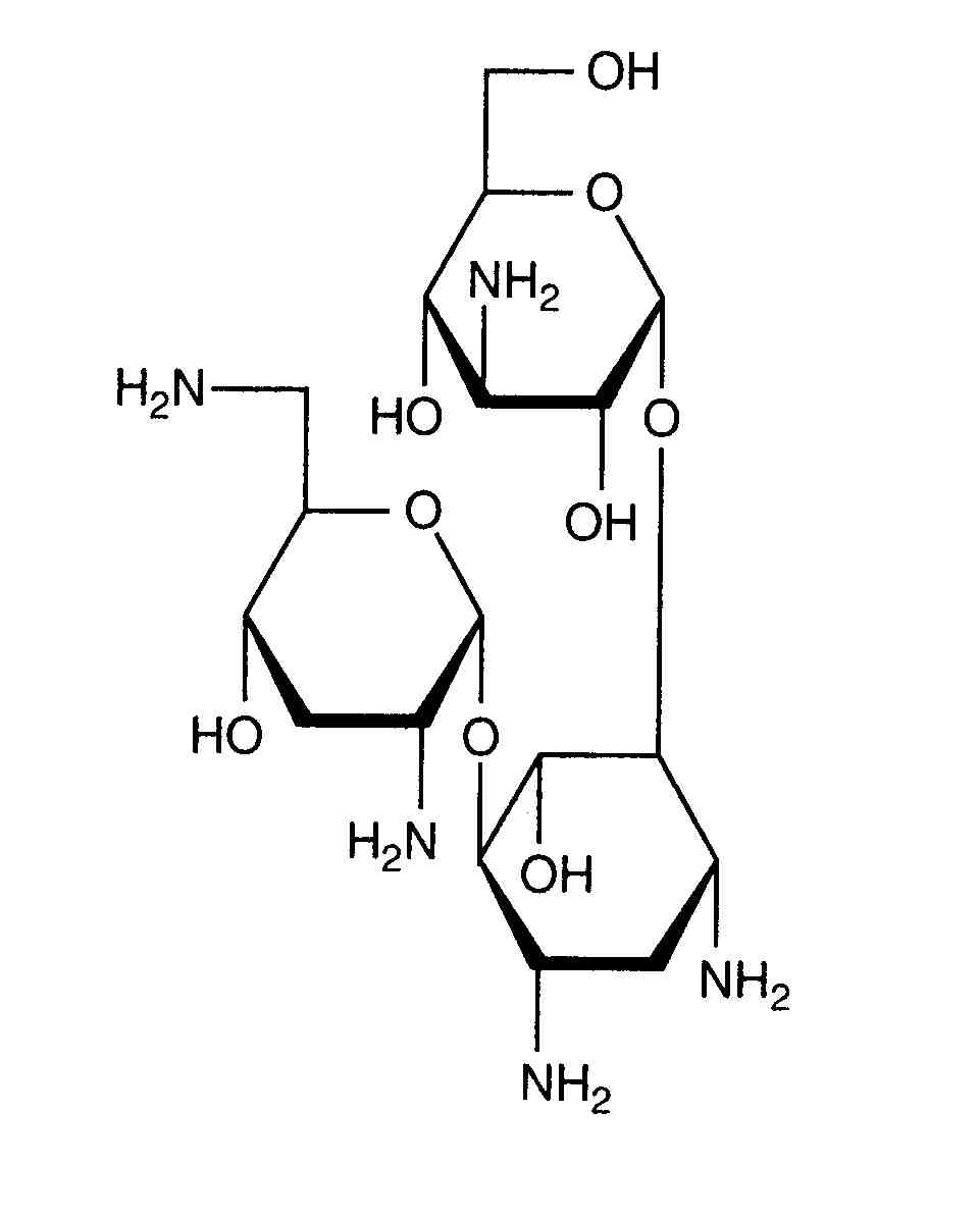
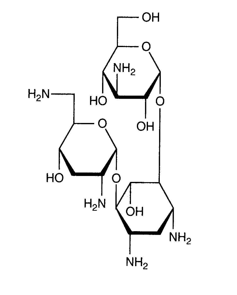
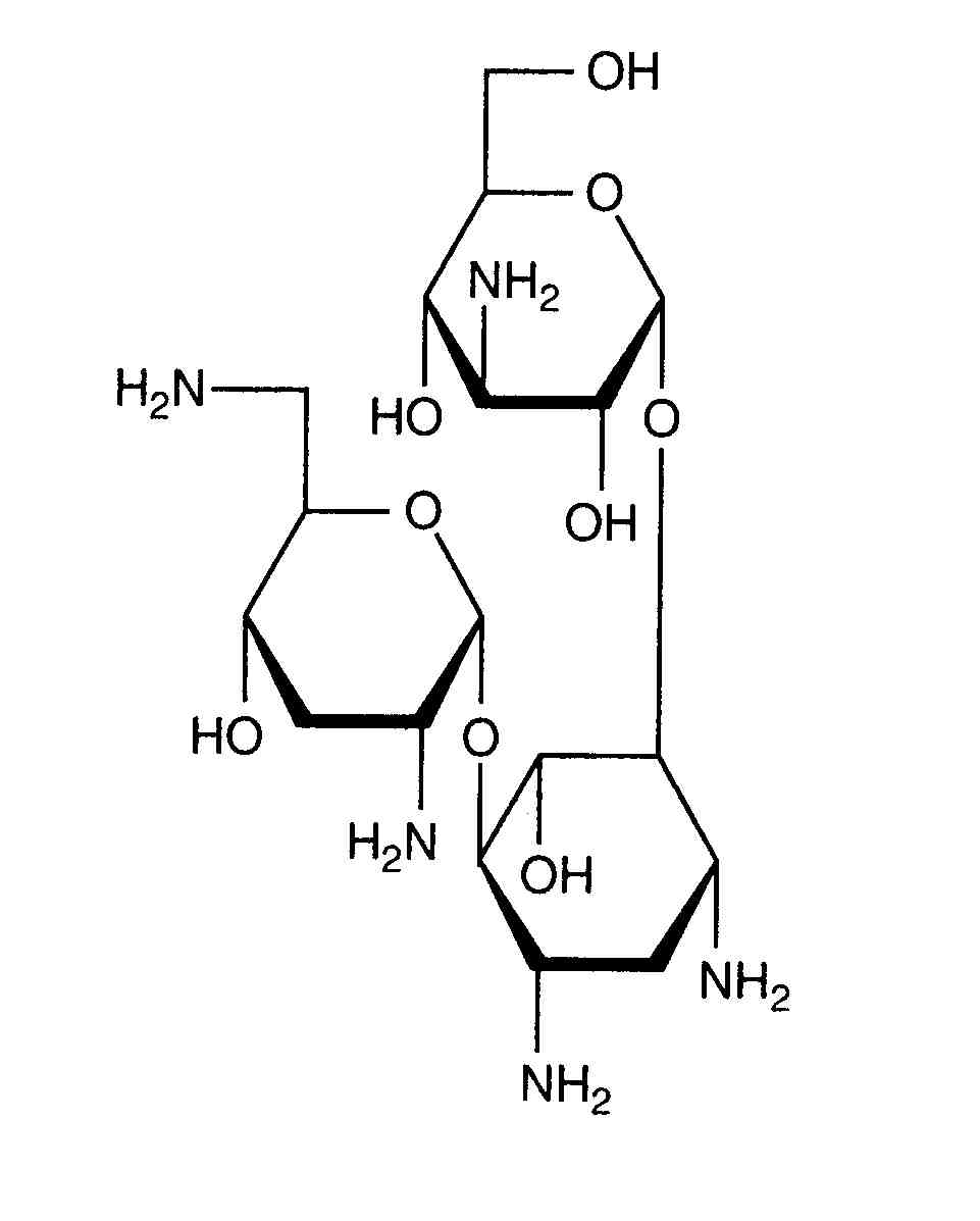
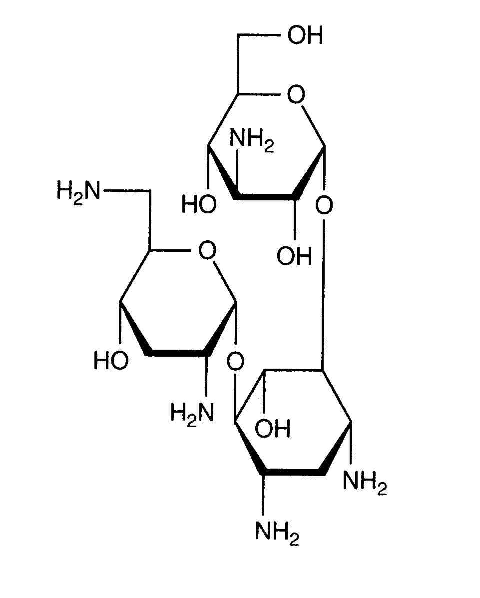
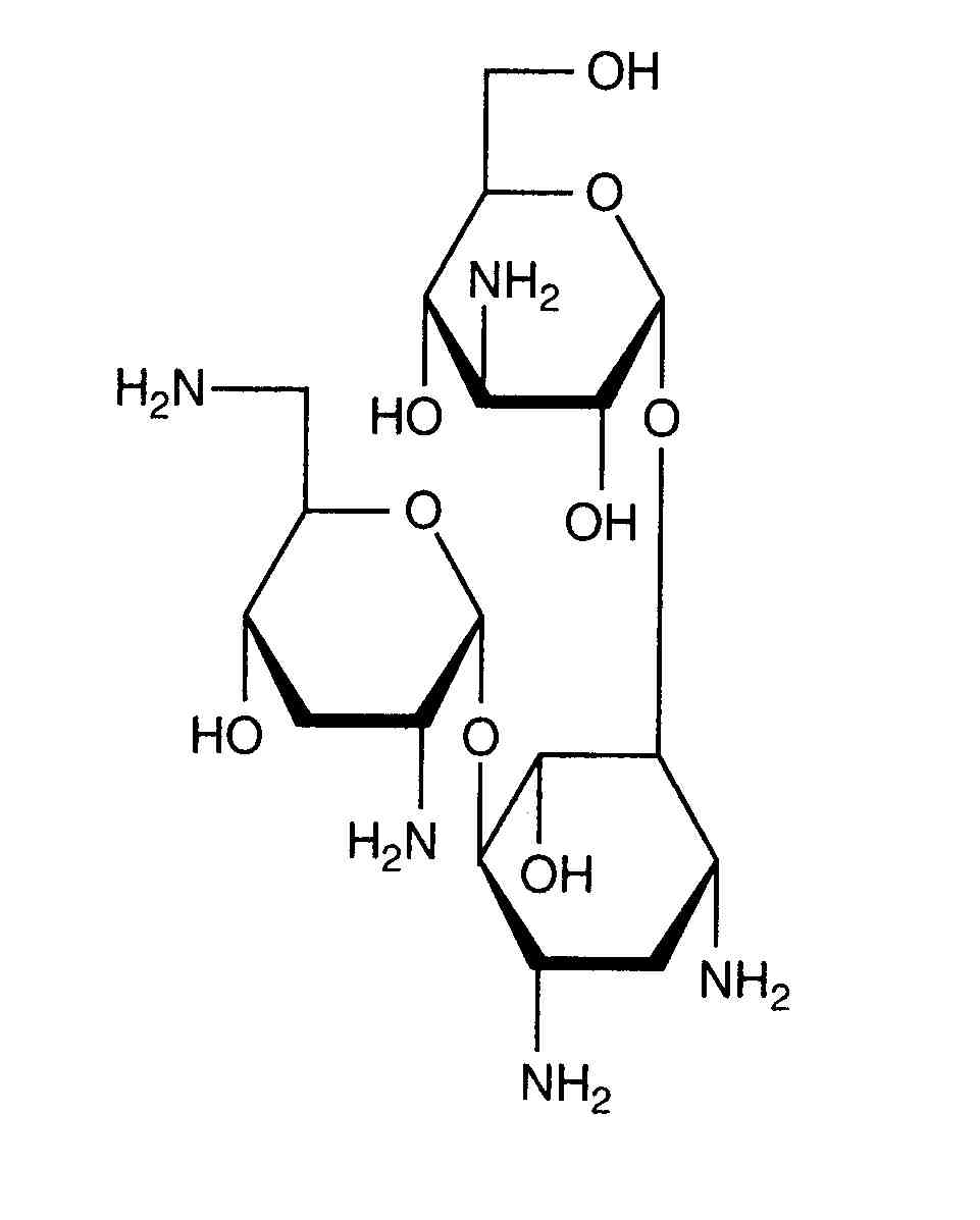
antibiótico   Tobramycin sulfate   
solução oftálmica
aerossol injetável Solução Oral
Estabilidade de preparações farmacêuticas Estabilidade em misturas Factores que afectam a sua estabilidade Compatibilidade Bibliografía pdf
   estrutura química  

solução oftálmica
Compatibilidade   solução oftálmica   Compatibilidade : Tobramycin sulfate               
Ausência de dados

  Mentions Légales