Viimeisin päivitys :
27/11/2025
Antibiootit   Tobramycin sulfate   
Silmätipat
Aerosoli Injektioneste Oraaliliuos
Vakaus lääkevalmisteen Stabilius seoksissa Tekijät, jotka vaikuttavat stabiliuteen Yhteensopivuus Viitteet pdf
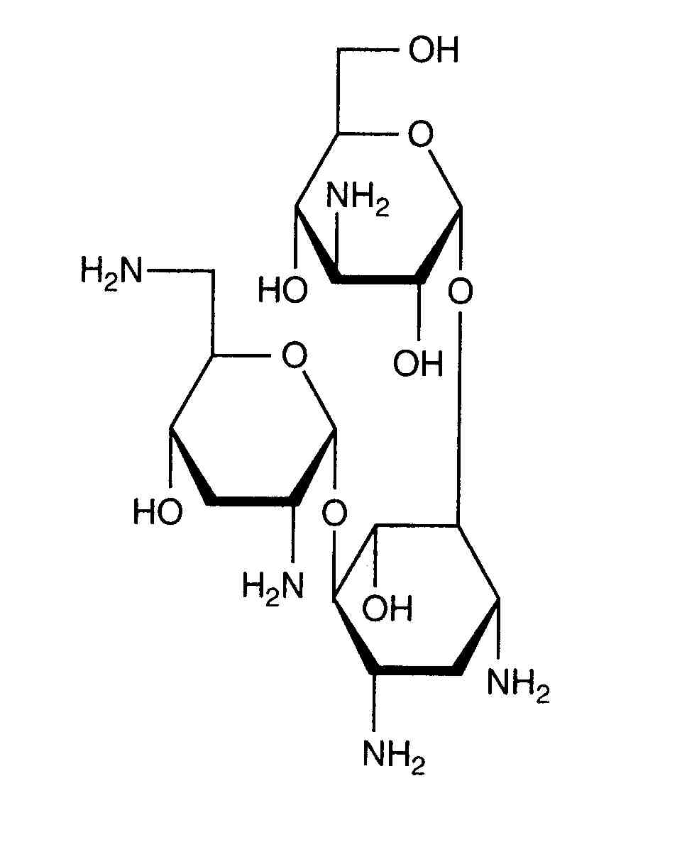
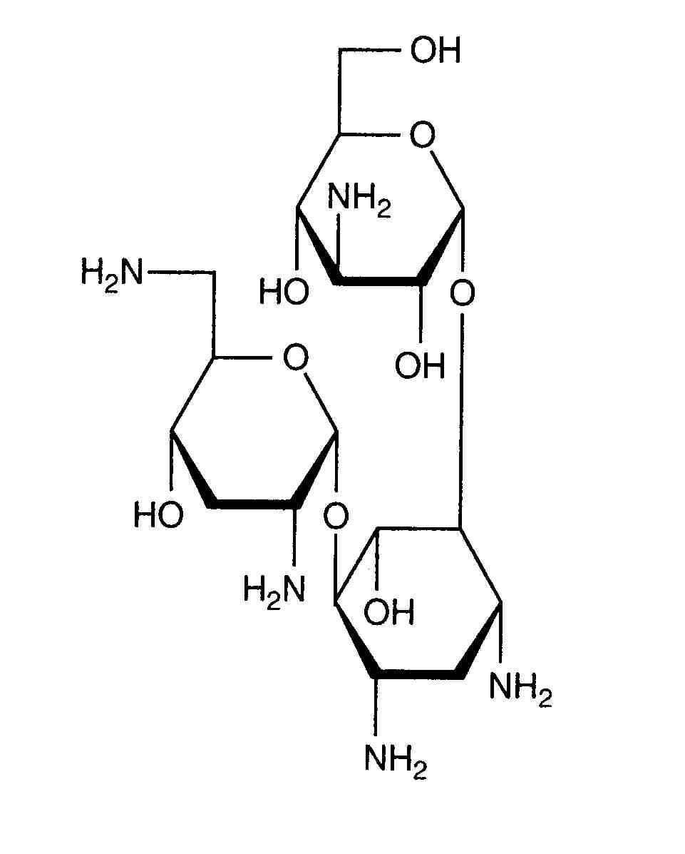
   Kemiallinen rakenne  

Silmätipat
Yhteensopivuus   Silmätipat   Yhteensopivuus : Tobramycin sulfate               
ei tietoa

  Mentions Légales