Poslední aktualizace :
27/11/2025
Antibiotikum   Tobramycin sulfate   
Humbuk
Aerosol injekce Perorální roztok
Stabilita farmaceutických přípravků Stabilita směsí Faktory ovlivňující stabilitu Kompatibilita Odkazy pdf
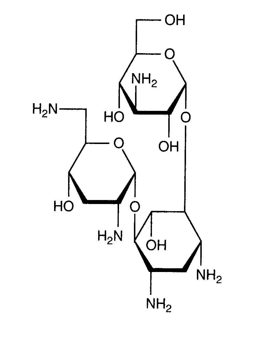
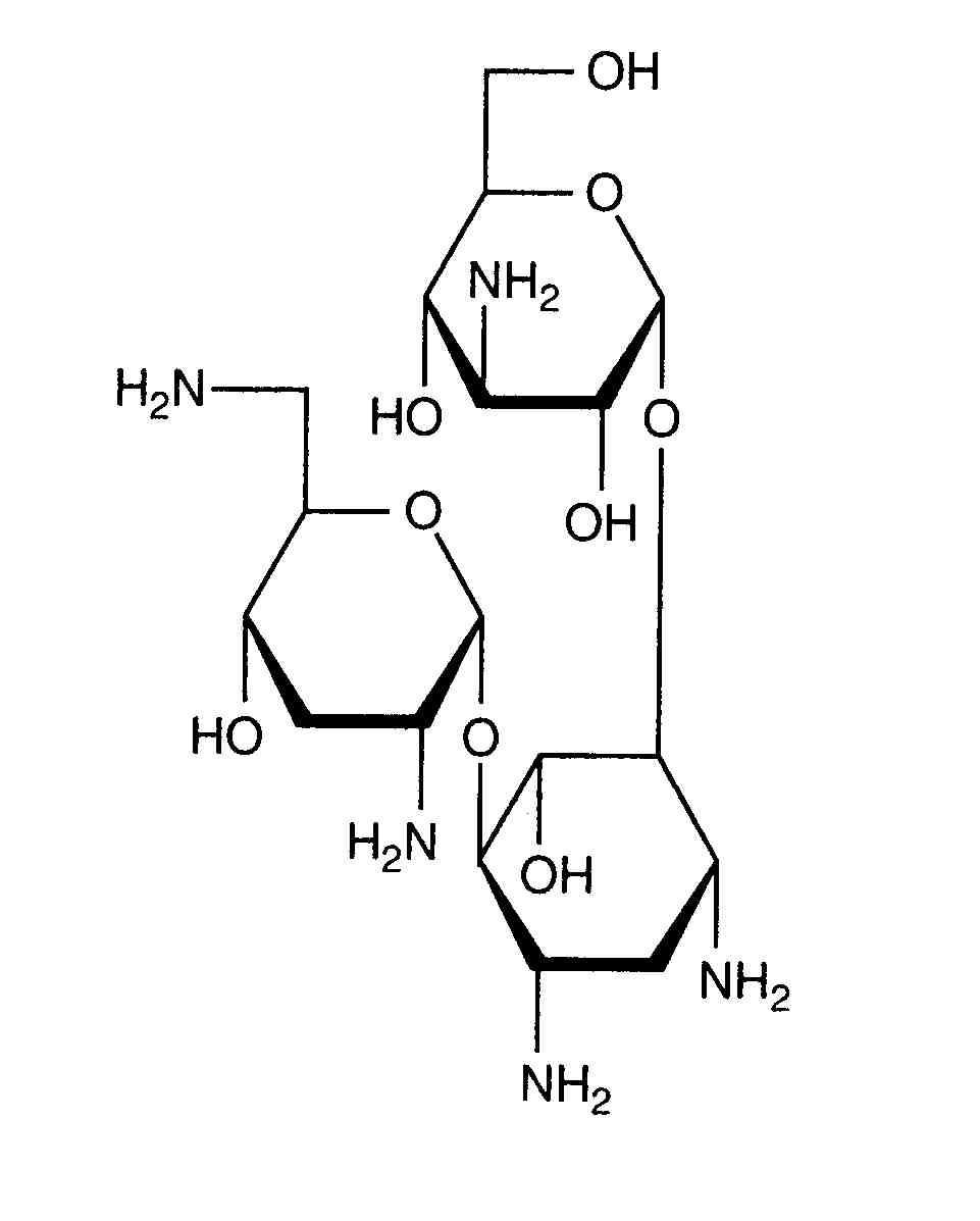
   Chemický vzorec  

Humbuk
Kompatibilita   Humbuk   Kompatibilita : Tobramycin sulfate               
žádná data

  Mentions Légales