Ostatnia aktualizacja :
27/11/2025
Antybiotyk   Tobramycin sulfate   
Krople oczne
Aerozol Injekcje Roztwór doustny
Stabilność preparatów farmaceutycznych Trwałość w mieszaninie Czynnik wpływający na trwałość Zgodność Bibliografia pdf
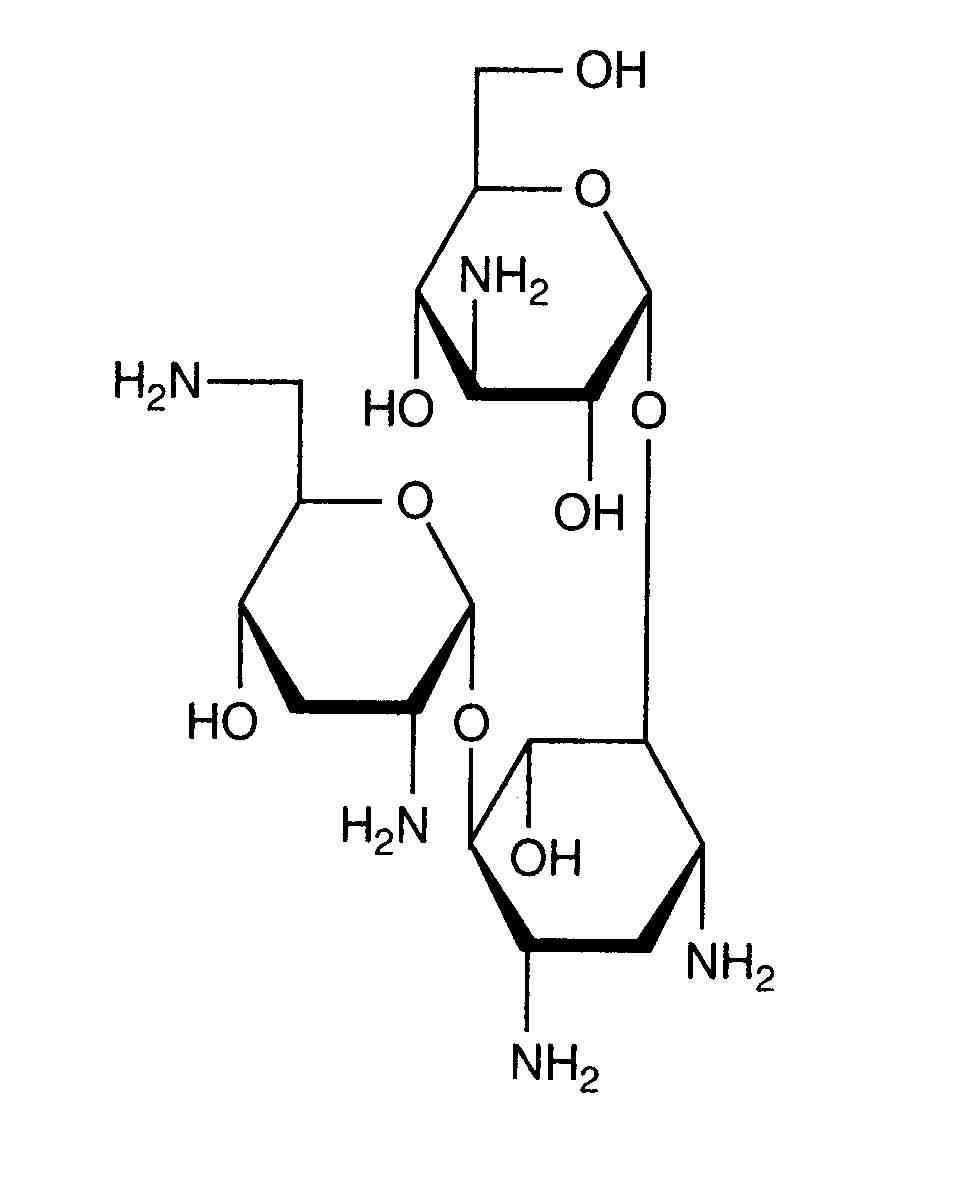
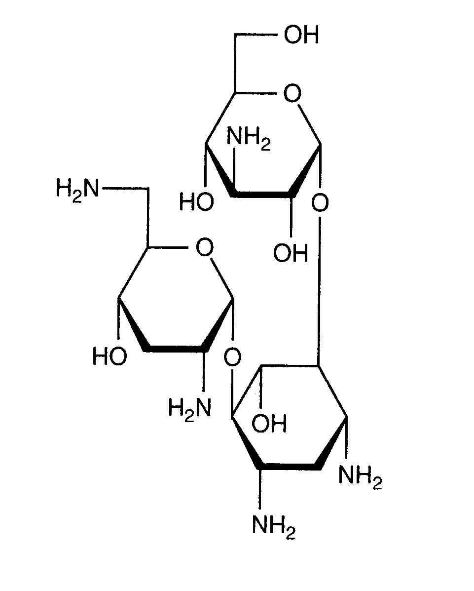
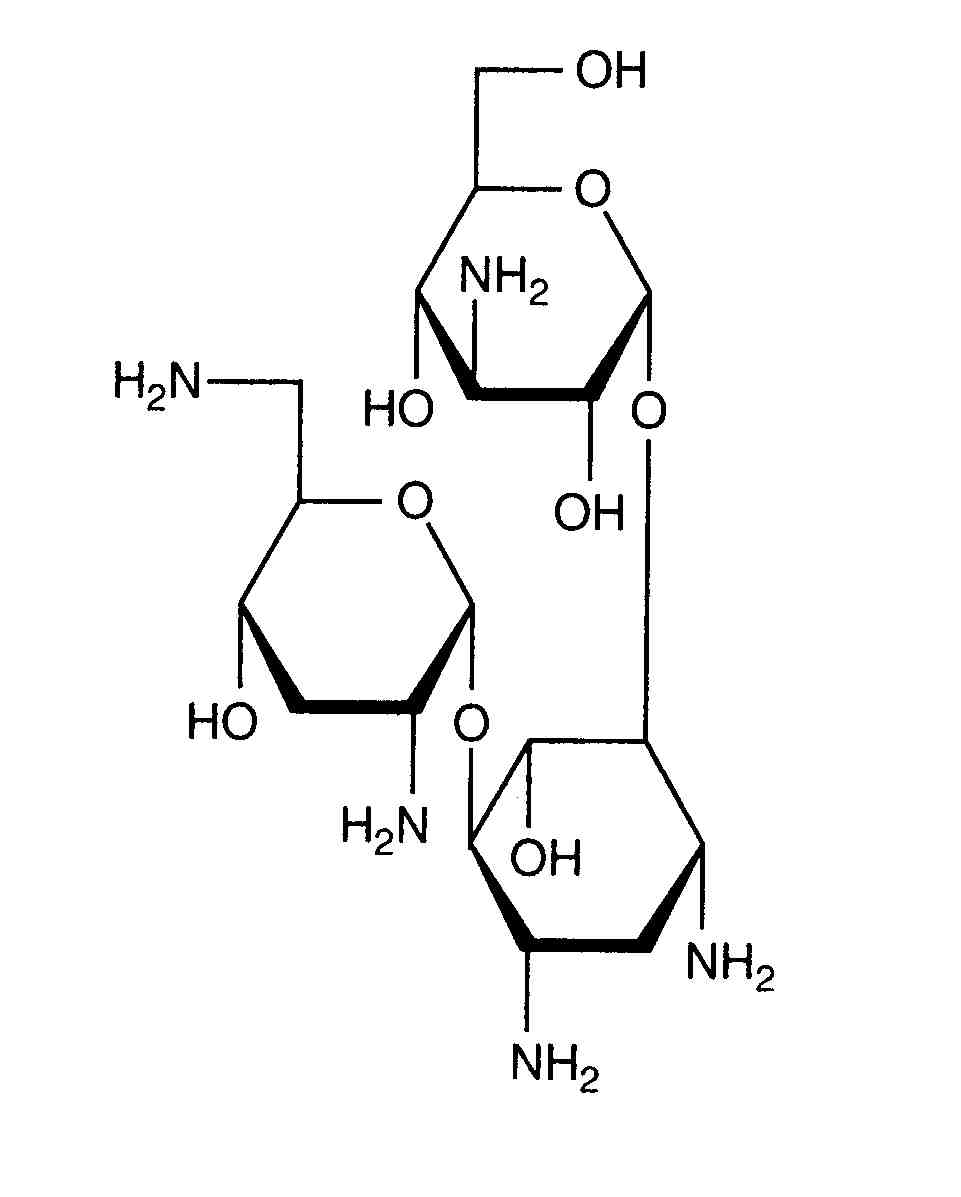
   Struktura chemiczna  

Krople oczne
Zgodność   Krople oczne   Zgodność : Tobramycin sulfate               
Brak danych

  Mentions Légales