Останнє оновлення :
17/12/2025
Антибіотик   Tobramycin sulfate   
Очні краплі
ін'єкція аерозоль Розчин для перорального застосування
Стабільність фармацевтичних препаратів Стійкість сумішей Фактори, що впливають на стабільність Сумісність Список літератури pdf
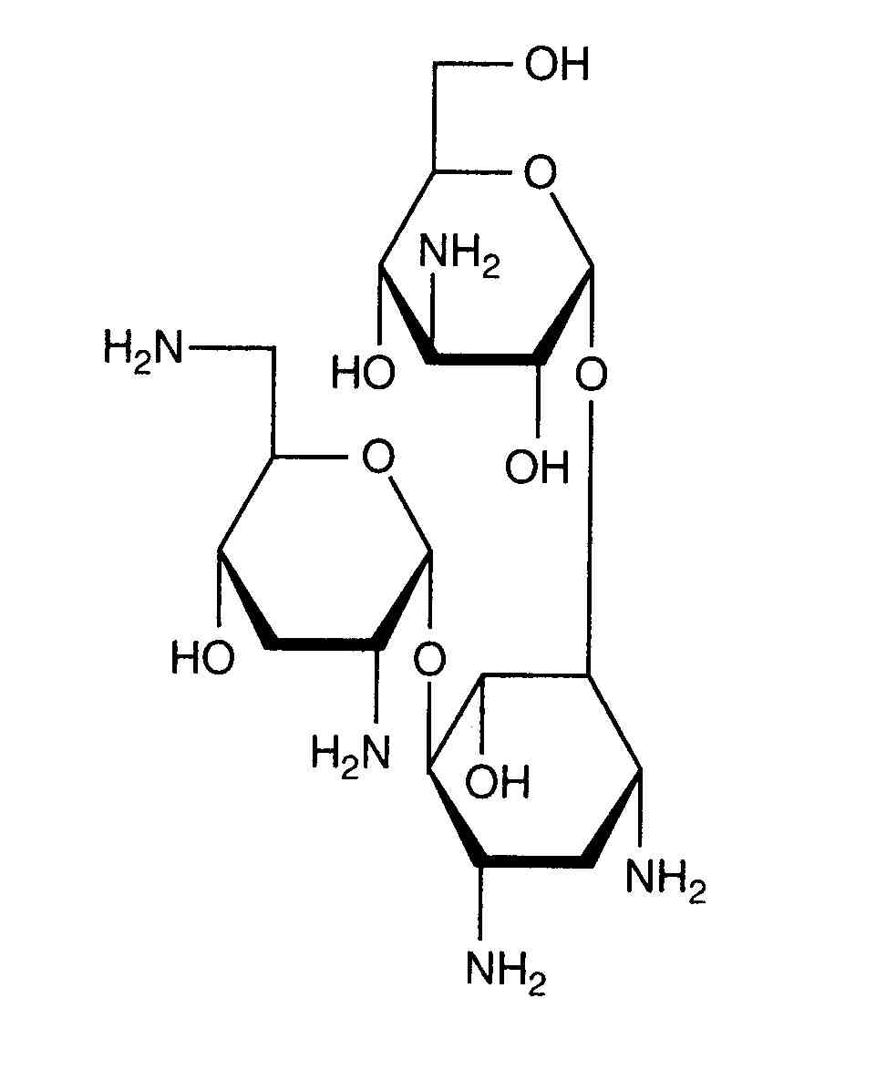
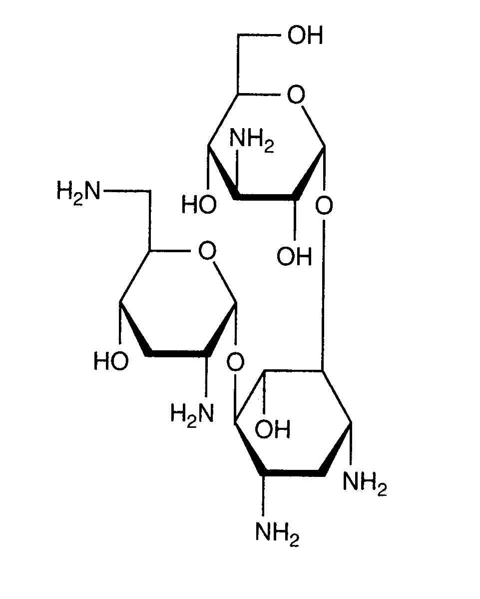
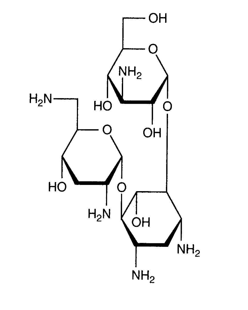
   Хімічна структура  

Очні краплі
Сумісність   Очні краплі   Сумісність : Tobramycin sulfate               
7 / 5 000 Résultats de traduction Немає даних

  Mentions Légales