Last update :
27/11/2025
Antibiotic   Tobramycin sulfate   
Eye-drops
aerosol injection Oral solution
Stability of pharmaceutical preparations Stability of mixtures Factors which affect stability Compatibility References pdf
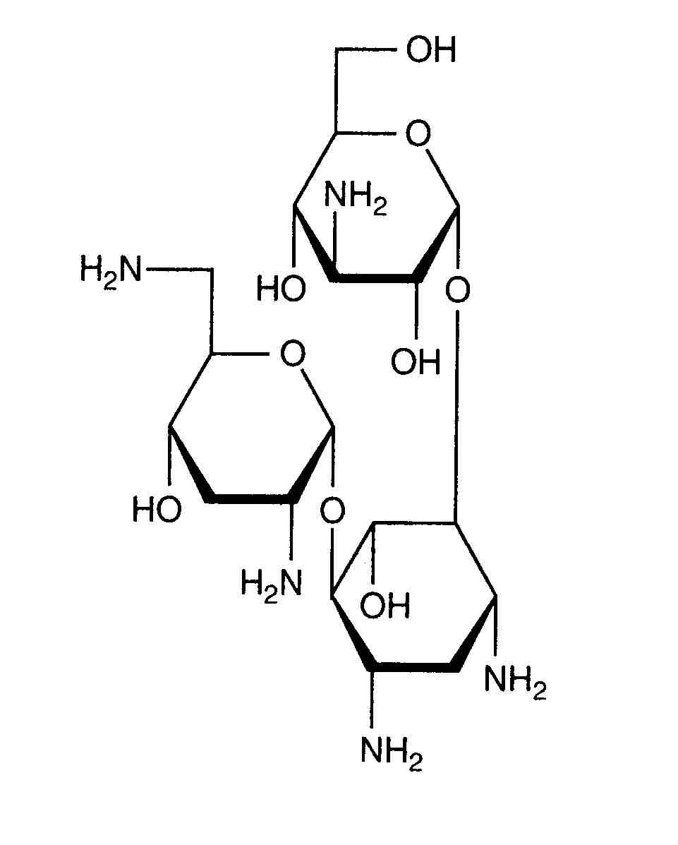
   Chemical structure  

Eye-drops
Compatibility   Eye-drops   Compatibility : Tobramycin sulfate               
No data

  Mentions Légales