Ultimele actualizari :
27/11/2025
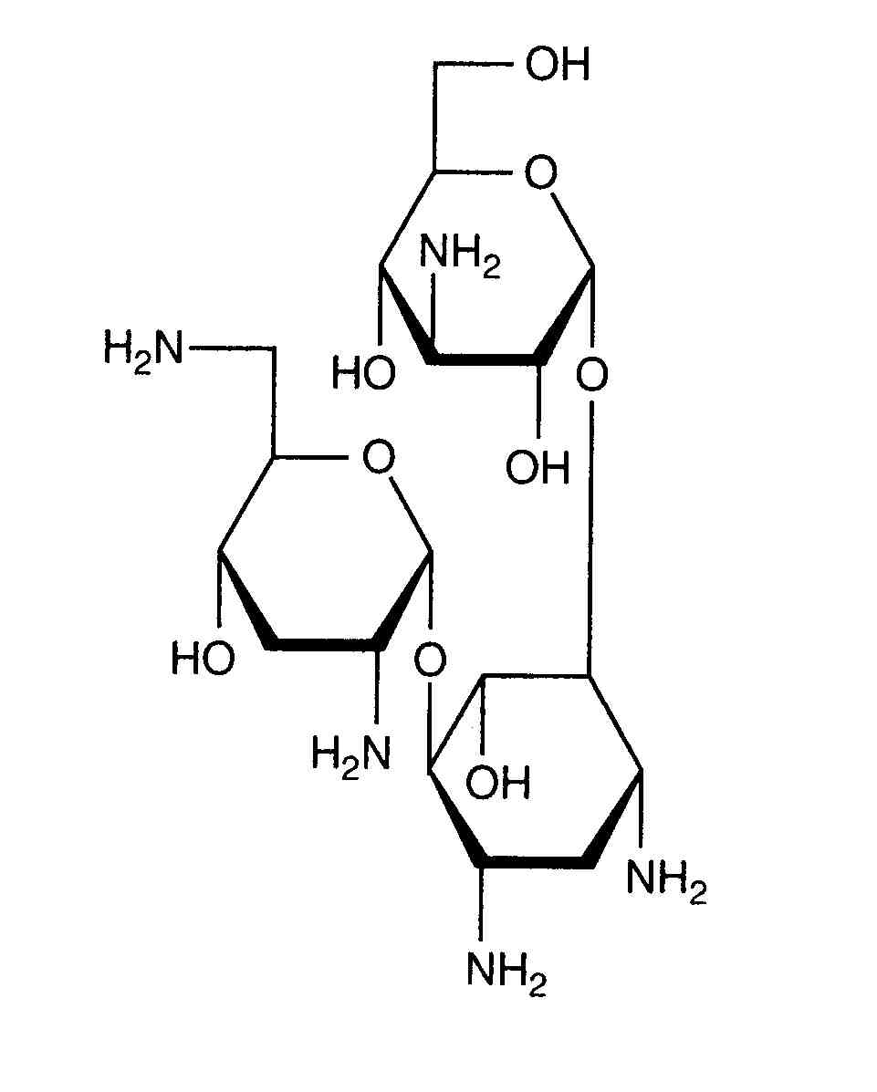
Antibiotic   Tobramycin sulfate   
colir
Aerosol Injectabil Soluţie orală
Stabilitatea preparatelor farmaceutice Stabilitatea in amestec Factorii care influenteaza stabilitatea Compatibilitate Bibliografie pdf
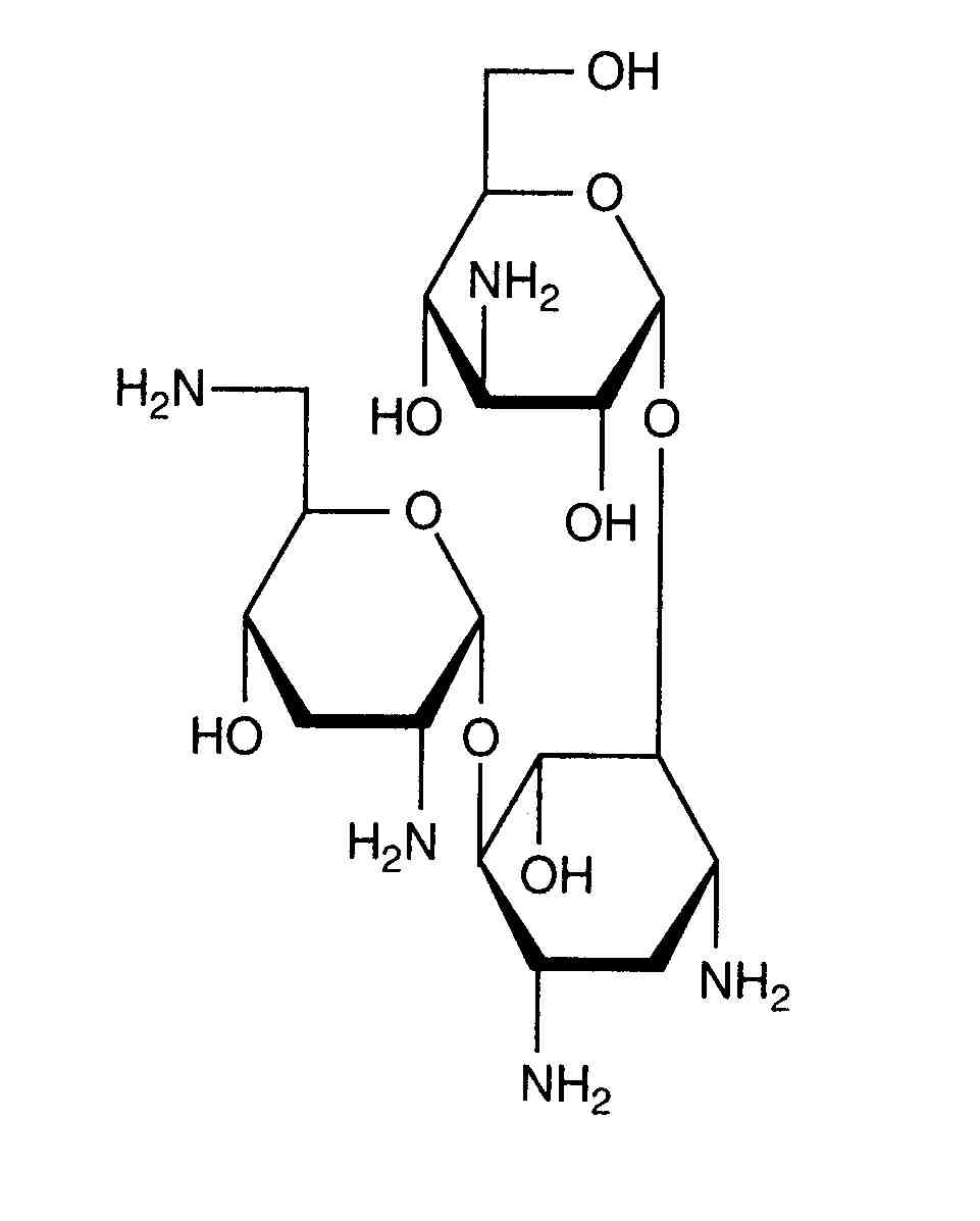
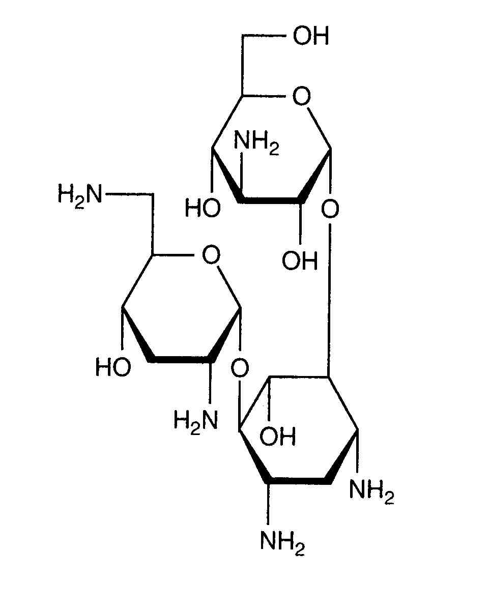
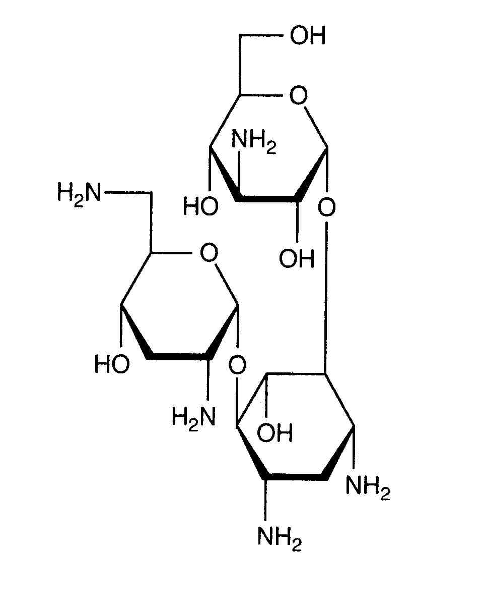
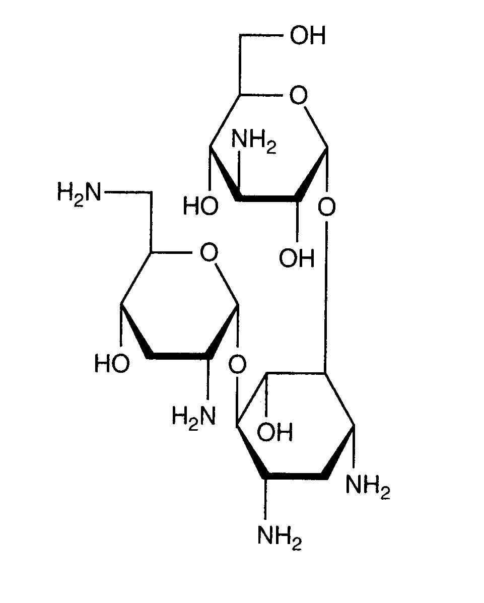
   Formula chimica  

colir
Compatibilitate   colir   Compatibilitate : Tobramycin sulfate               
Absenta de date

  Mentions Légales