Última actualización :
27/11/2025
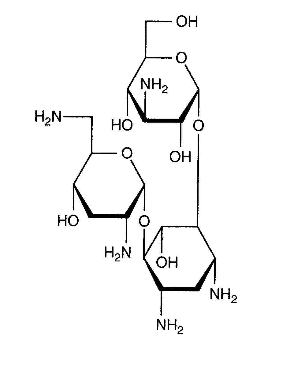
Antibiótico   Tobramycin sulfate   
Gotas oculares
Aerosol Inyectables Solución Oral
La estabilidad de las preparaciones farmacéuticas Estabilidad en mezcla Factores que influyen sobre la estabilidad Compatibilidades Bibliografía pdf
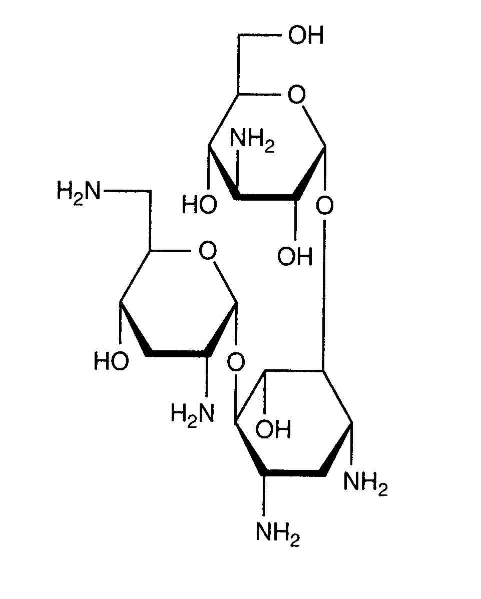
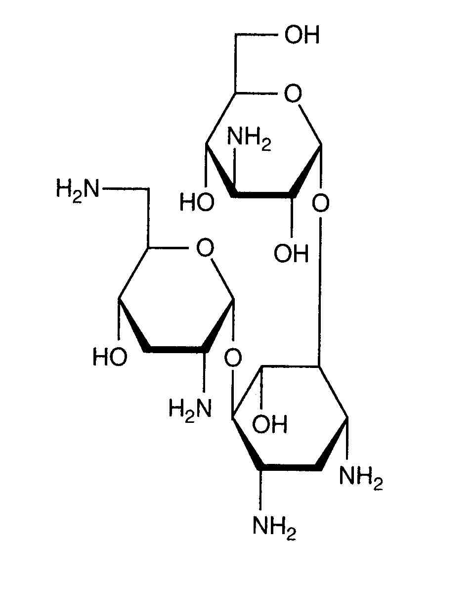
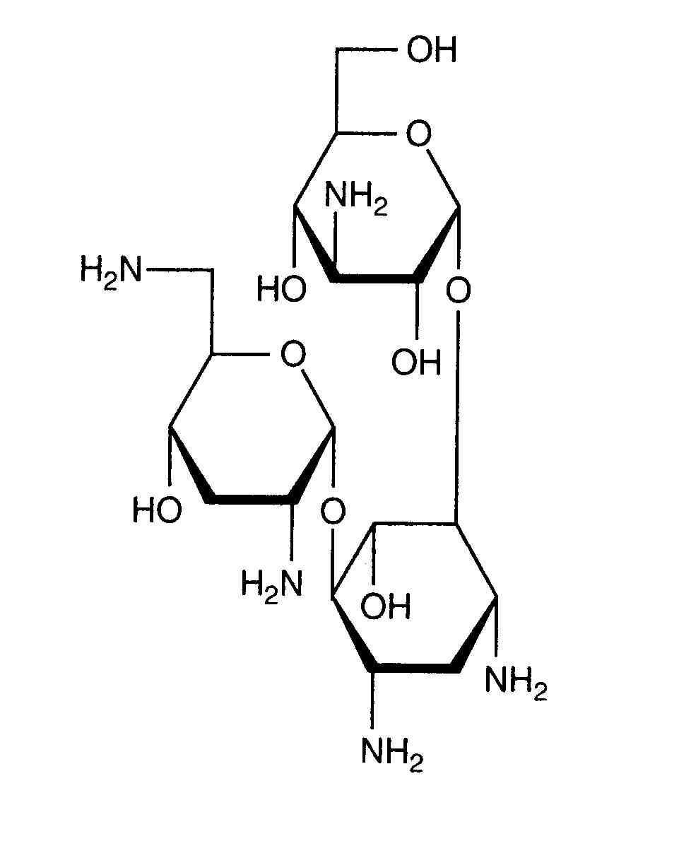
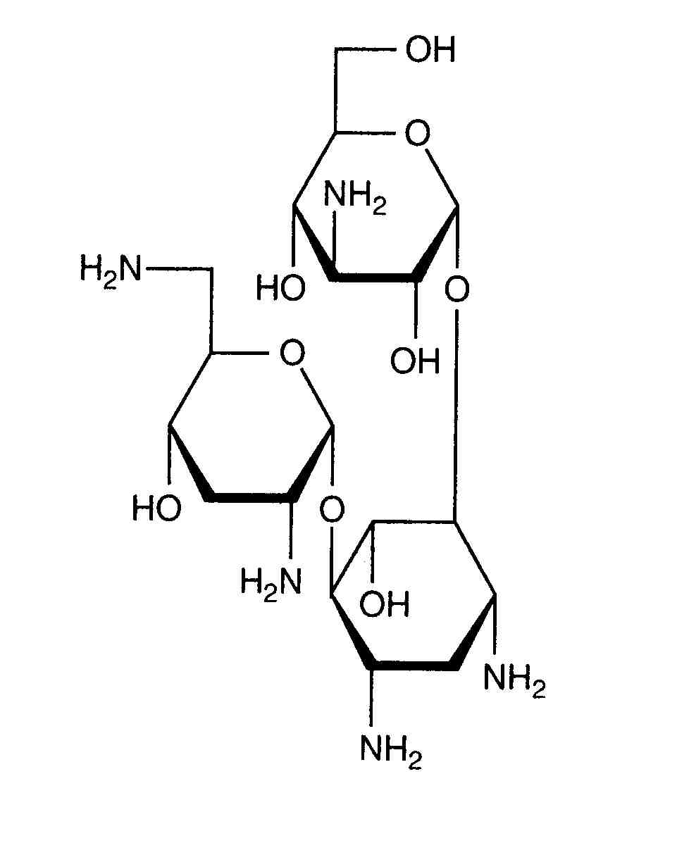
   Estructura química  

Gotas oculares
Compatibilidades   Gotas oculares   Compatibilidades : Tobramycin sulfate               
Ausencia de datos

  Mentions Légales