Последно актуализиране :
27/11/2025
Антибиотик   Tobramycin sulfate   
Капки за очи
Аерозол Инжекция/Инжекционен Орален разтвор
Стабилност на лекарствени препарати Стабилност на смеси Фактори, повлияващи стабилността Съвместимост Библиография Pdf
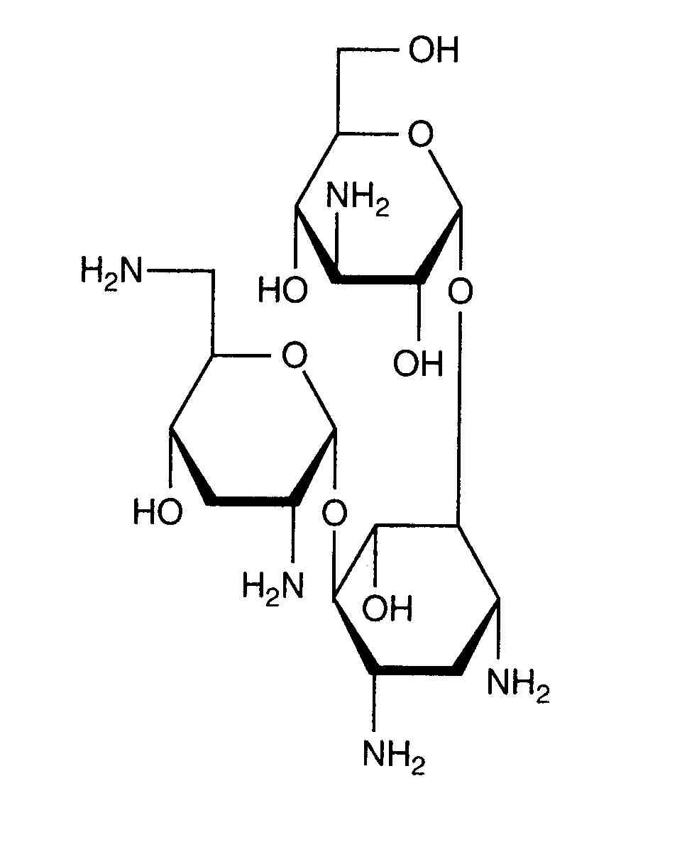
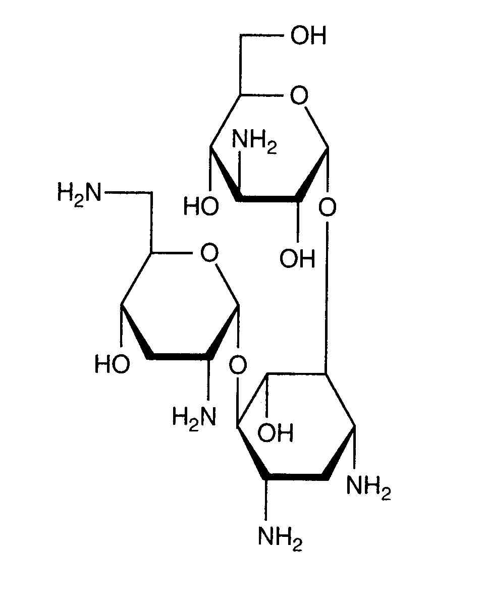
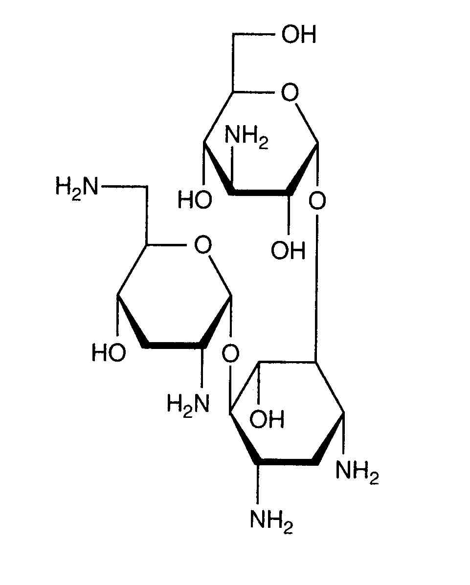
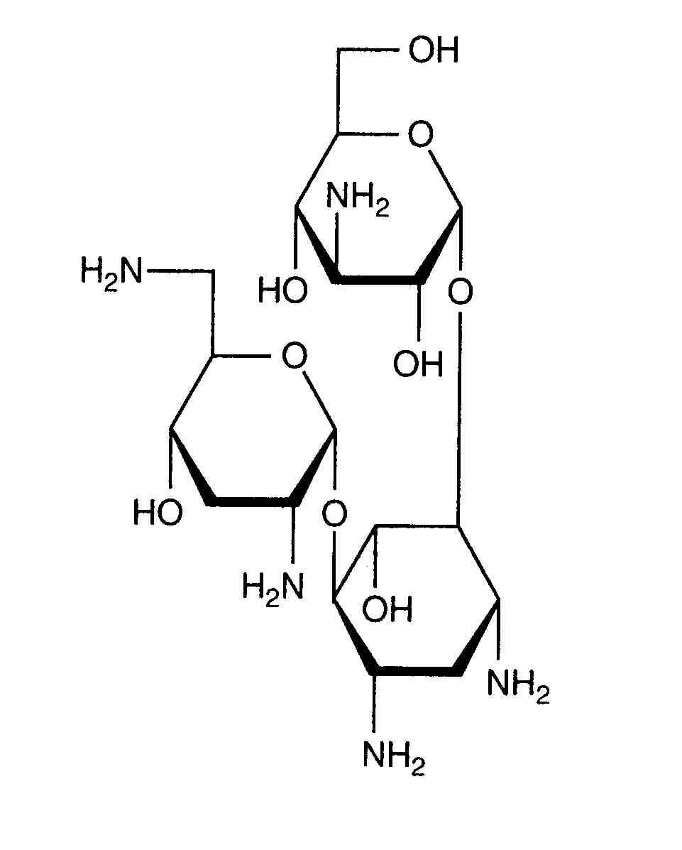
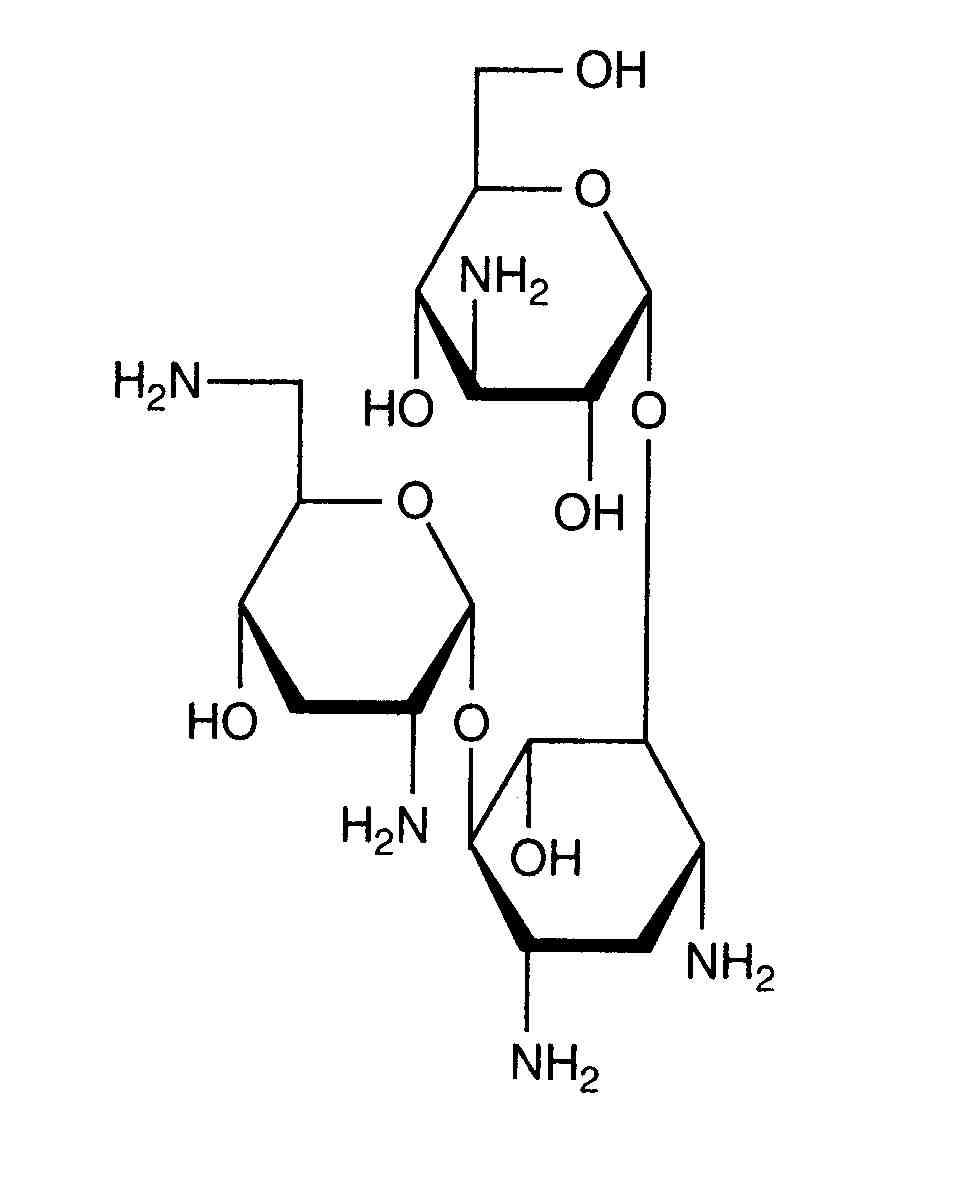
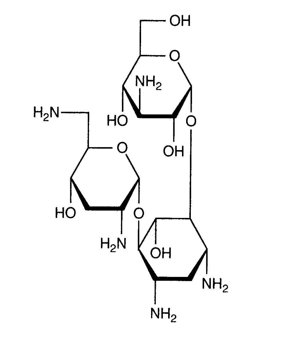
   Химична структура  

Капки за очи
Съвместимост   Капки за очи   Съвместимост : Tobramycin sulfate               
Няма данни

  Mentions Légales