Letztes “update” :
27/11/2025
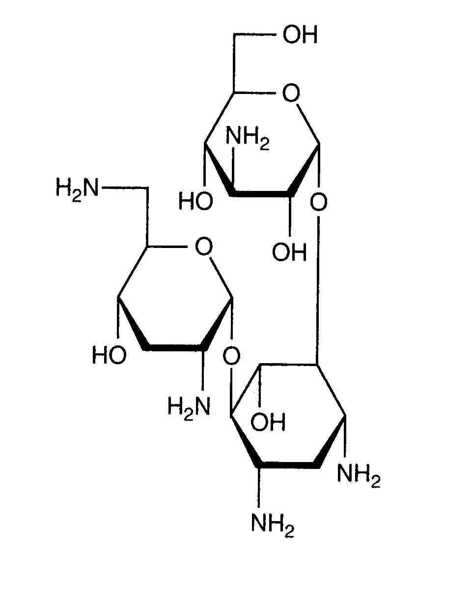
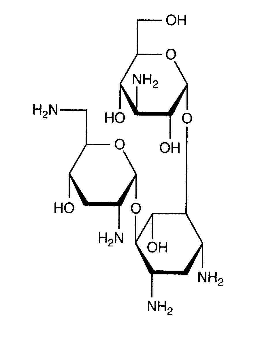
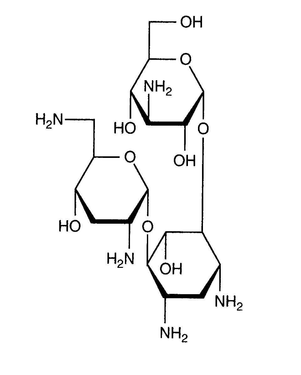
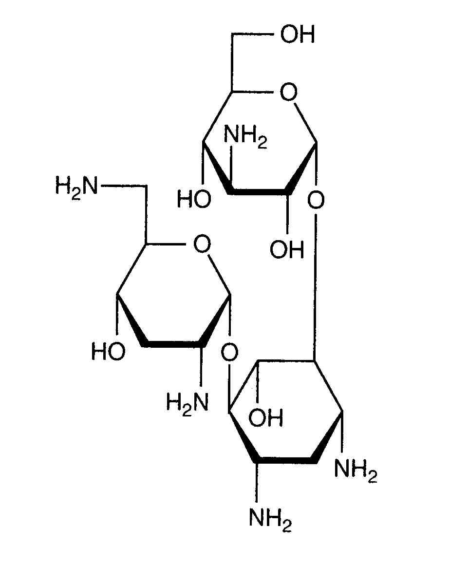
Antibiotikum   Tobramycin sulfate   
Augentropfen
Aerosol Injektion Lösung zum Einnehmen
Stabilität von pharmazeutischen Präparaten Gemengestabilität Stabilitätbeeinflussende Faktoren Kompatibilitäten Literaturverzeichnis pdf
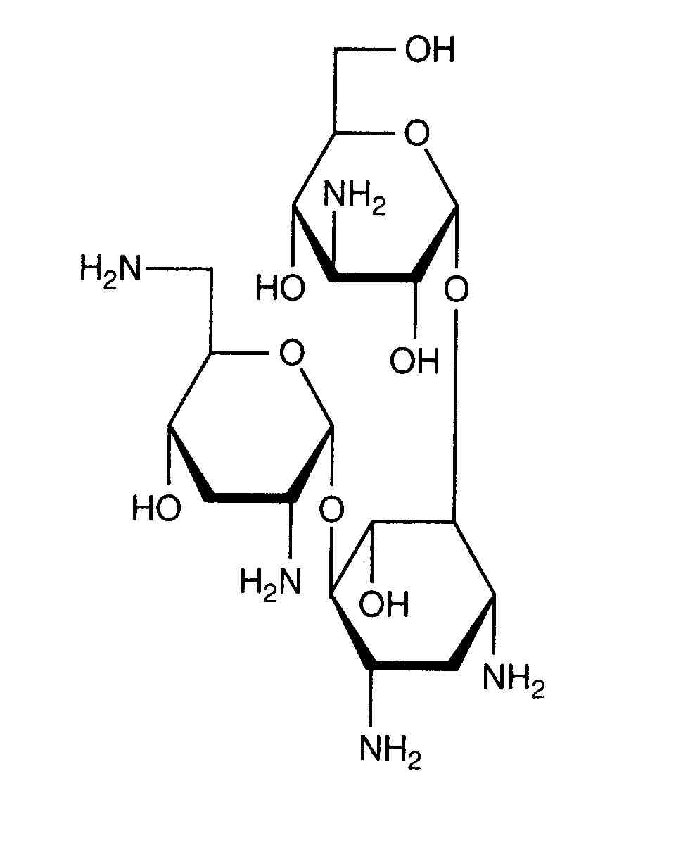
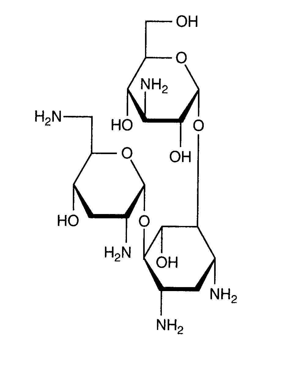
   Chemische Struktur  

Augentropfen
Kompatibilitäten   Augentropfen   Kompatibilitäten : Tobramycin sulfate               
Keine Daten

  Mentions Légales