Poslední aktualizace :
27/11/2025
Antibiotikas   Tobramycin sulfate   
Akių lašai
Aerozolis Geriamas tirpalas Įpurškimas
Stabilumas farmacinių preparatų Mišinių stabilumas Stabilumą lemiantys veiksniai Suderinamumas Bibliografija pdf
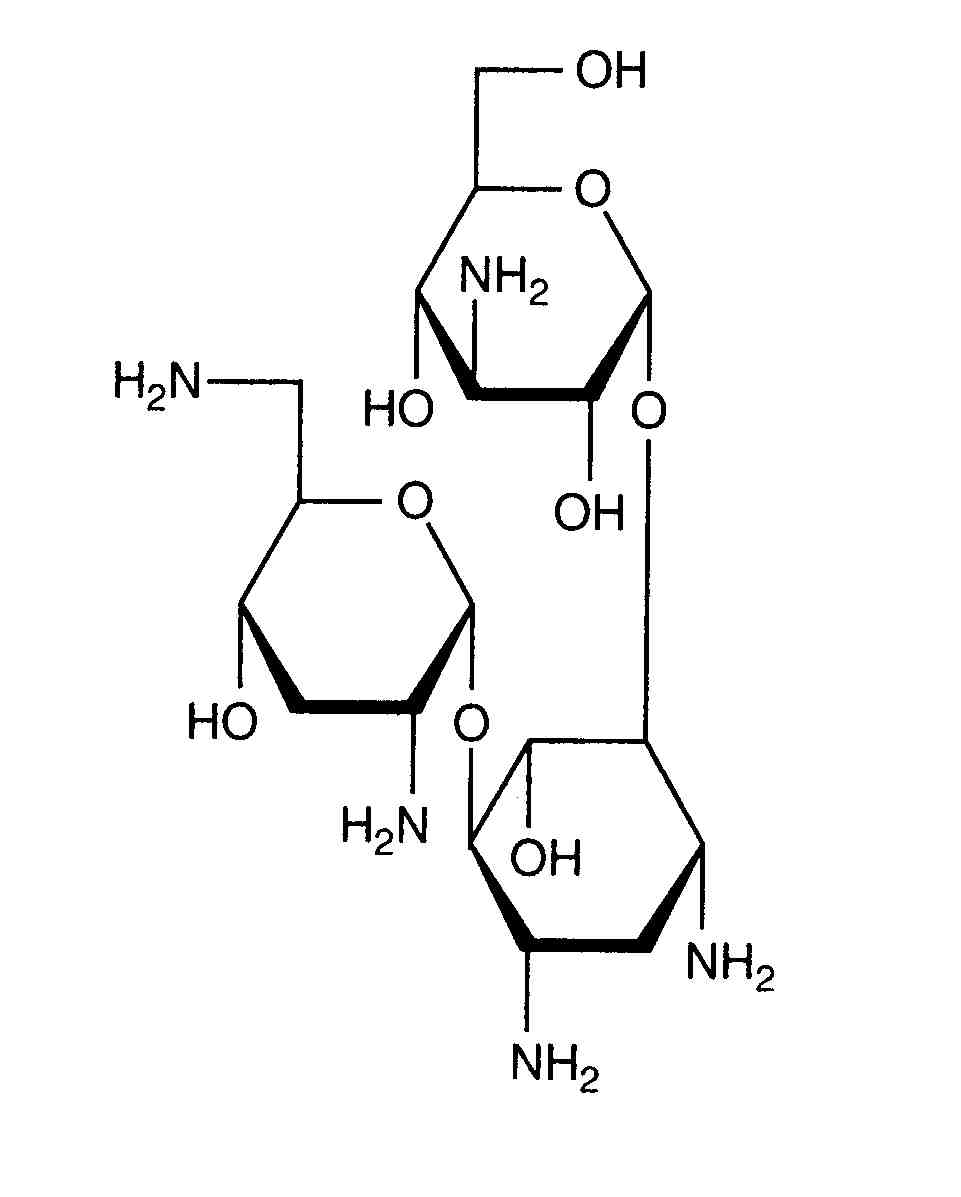
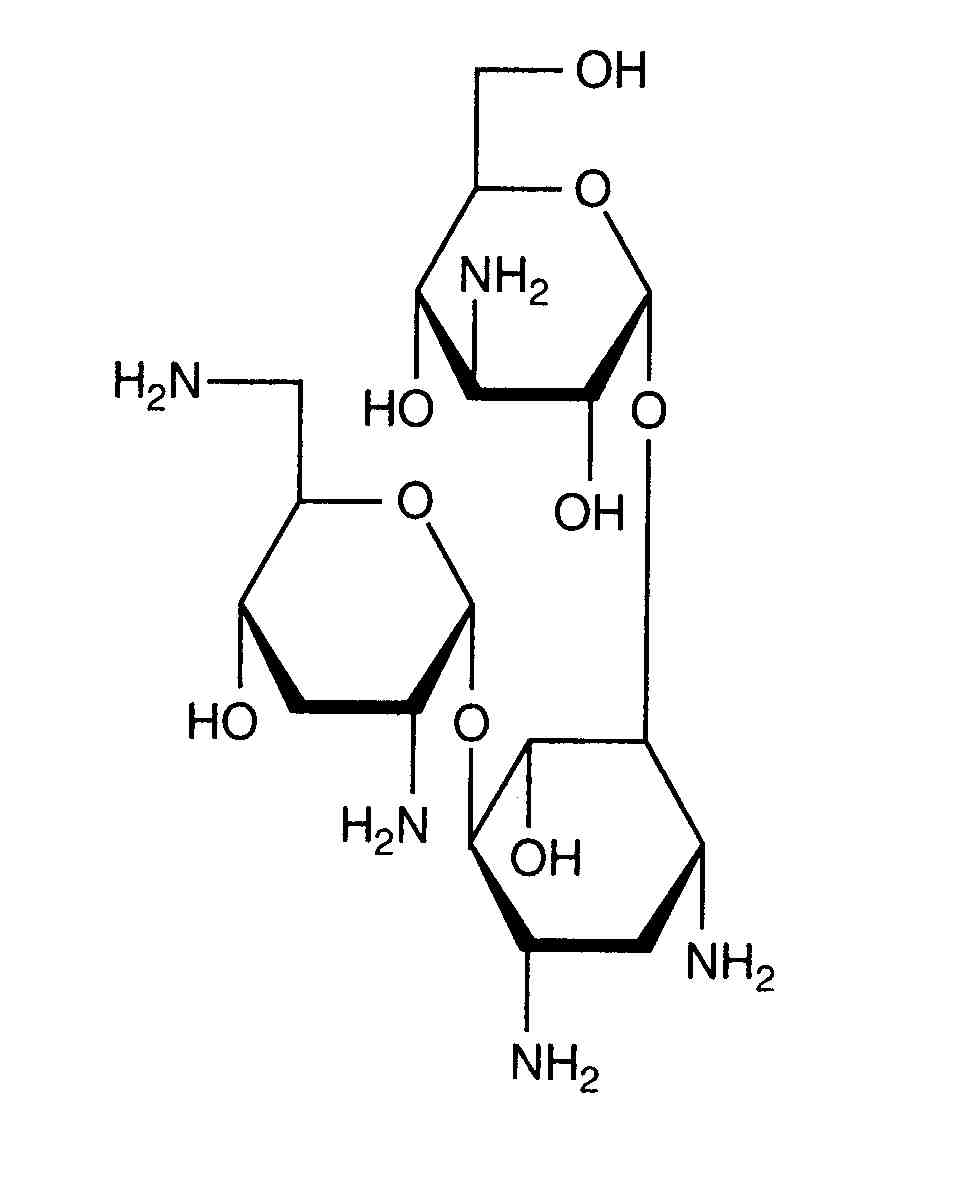
   Cheminė sandara  

Akių lašai
Suderinamumas   Akių lašai   Suderinamumas : Tobramycin sulfate               
Nėra duomenų

  Mentions Légales