Última actualización :
18/03/2026
Antibiótico   Tobramycin sulfate   
Gotas oculares
Aerosol Inyectables Solución Oral
La estabilidad de las preparaciones farmacéuticas Estabilidad en mezcla Factores que influyen sobre la estabilidad Compatibilidades Bibliografía pdf
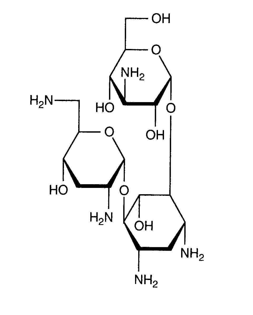
   Estructura química  

Gotas oculares
La estabilidad de las preparaciones farmacéuticas   Gotas oculares   La estabilidad de las preparaciones farmacéuticas : Tobramycin sulfate      
Envase Origine Excipiente Temperatura Conservación Duración de la estabilidad Bibliografía
Botella de plástico Frasco para medicamentos inyectables 5 ml
Nebcin® 40 mg/ml
Tobrex® 3 mg/ml gotas oculares 2 ml
4-8°C A cubierto de la luz
90 Día
2487


  Mentions Légales