Letztes “update” :
27/11/2025
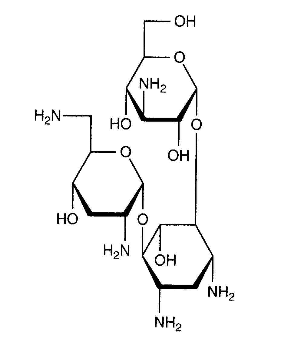
Antibiotikum   Tobramycin sulfate   
Augentropfen
Aerosol Injektion Lösung zum Einnehmen
Stabilität von pharmazeutischen Präparaten Gemengestabilität Stabilitätbeeinflussende Faktoren Kompatibilitäten Literaturverzeichnis pdf
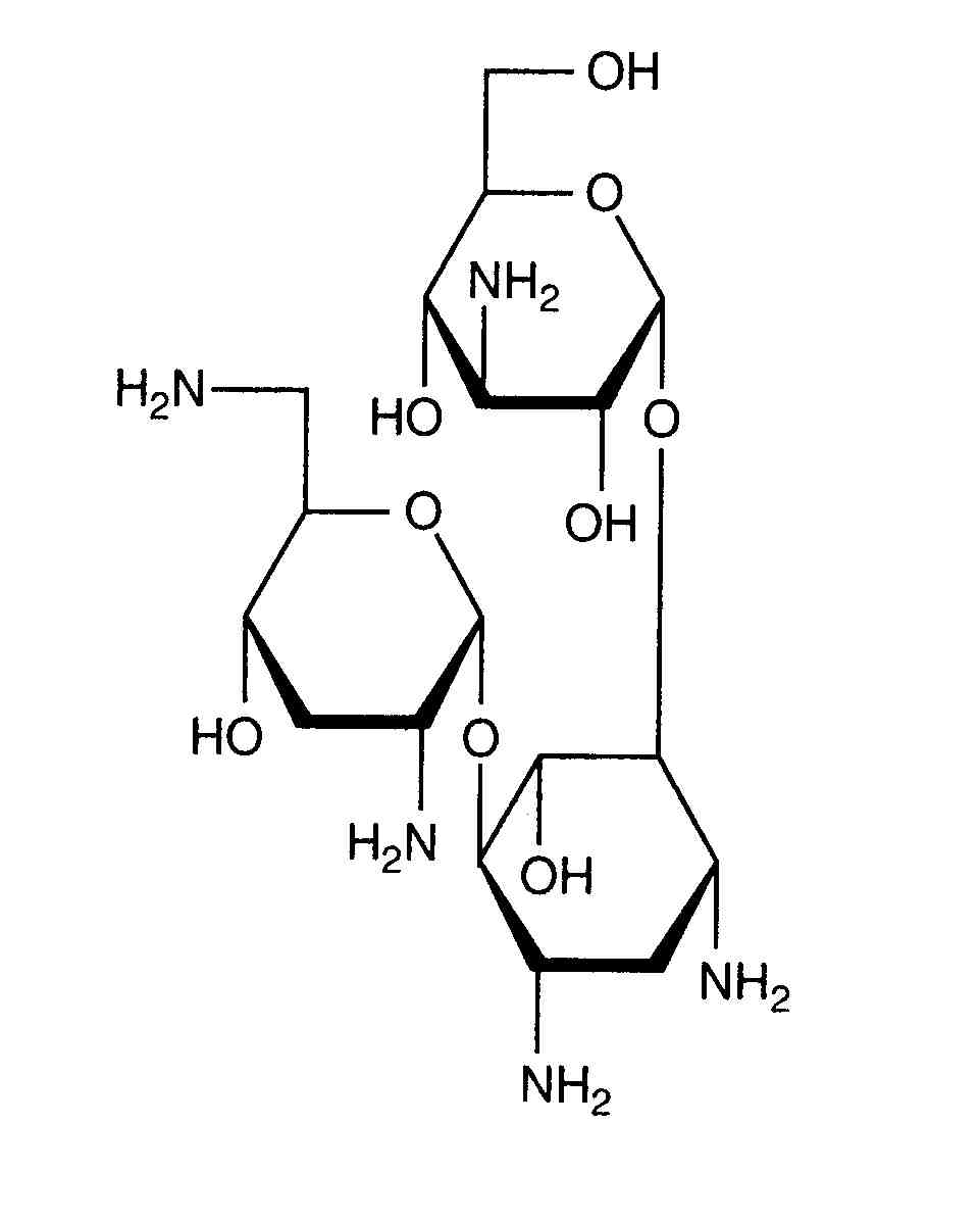
   Chemische Struktur  

Augentropfen
Stabilität von pharmazeutischen Präparaten   Augentropfen   Stabilität von pharmazeutischen Präparaten : Tobramycin sulfate      
Behälter Origine Hilfsstoff Temperatur Konservierung Dauer der Stabilität Literaturverzeichnis
Plastikflasche Injektionsflasche 5 ml
Nebcin® 40 mg/ml
Tobrex® 3 mg/ml Augentropfen 2 ml
4-8°C Ohne Licht
90 Tag
2487


  Mentions Légales