Τελευταία ενημέρωση :
27/11/2025
Αντιβιοτικό   Tobramycin sulfate   
Οφθαλμικές σταγόνες
Αεροζόλ Ενέσιμο Πόσιμο διάλυμα
Σταθερότητα και συμβατότητα των φαρμάκων Σταθερότητα σε μίγματα Παράγοντας που επηρεάζει τη σταθερότητα Συμβατότητες Βιβλιογραφία pdf
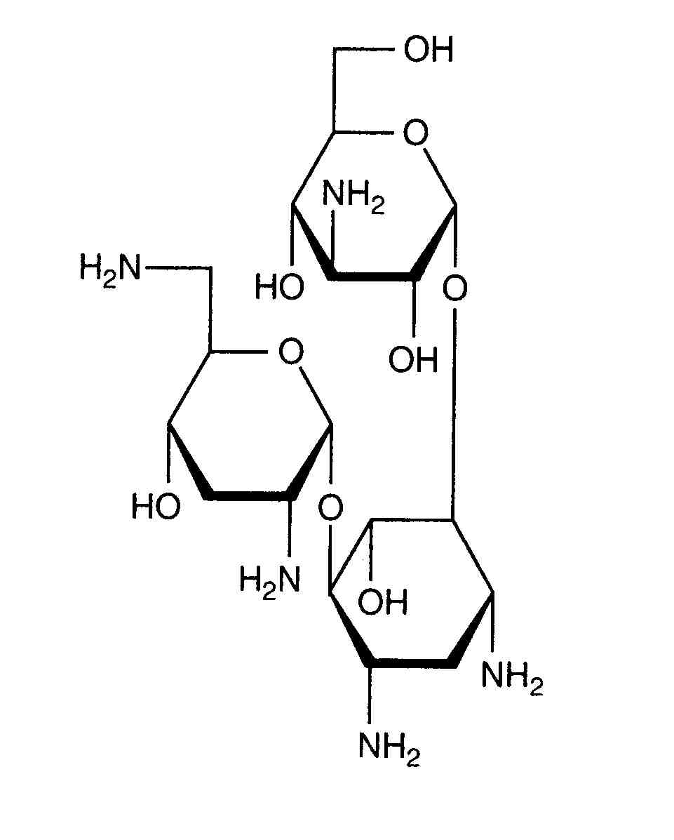
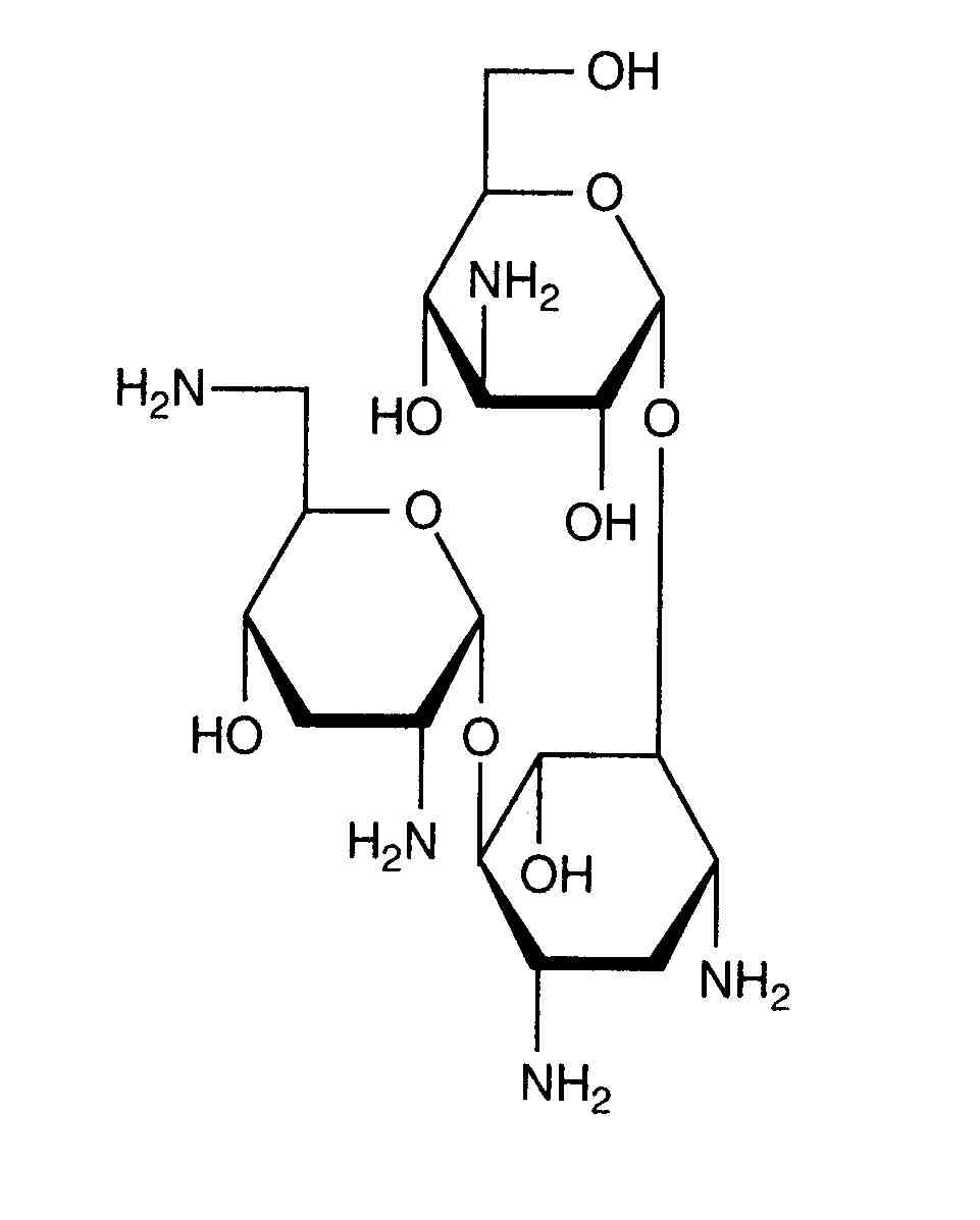
   χημική δομή  

Οφθαλμικές σταγόνες
Σταθερότητα και συμβατότητα των φαρμάκων   Οφθαλμικές σταγόνες   Σταθερότητα και συμβατότητα των φαρμάκων : Tobramycin sulfate      
Υποδοχέας Origine Έκδοχο Θερμοκρασία Αποθήκευση Διάρκεια σταθερότητας Βιβλιογραφία
Πλαστικό μπουκάλι Φιαλίδιο φαρμάκου για ένεση 5 ml
Nebcin® 40 mg/ml
Tobrex® 3 mg/ml οφθαλμικές σταγόνες 2 ml
4-8°C Προστατεύετε από το φως
90 Ημέρα
2487


  Mentions Légales