Последнее обновление :
27/11/2025
Антибиотик   Tobramycin sulfate   
Глазные капли
Аэрозоль Инъекция Раствор для перорального приёма
Стабильность фармацевтических препаратов Стабильность смесей Факторы, которые влияют на стабильность Совместимость Библиография pdf
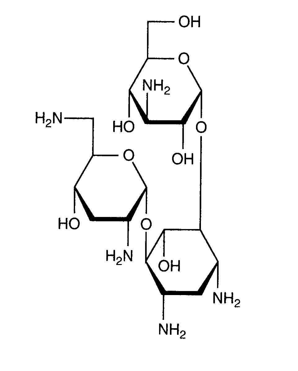
   Химическая структура  

Глазные капли
Стабильность фармацевтических препаратов   Глазные капли   Стабильность фармацевтических препаратов : Tobramycin sulfate      
Упаковка Origine Наполнитель Температура Хранение Продолжительность стабильности Ссылки
Пластиковая бутылка Медицинская бутылка для инъекций 5 ml
Nebcin® 40 mg/ml
Tobrex® 3 мг/мл глазные капли 2 ml
4-8°C Защищён от света
90 День
2487


  Mentions Légales