viimane versioon :
27/11/2025
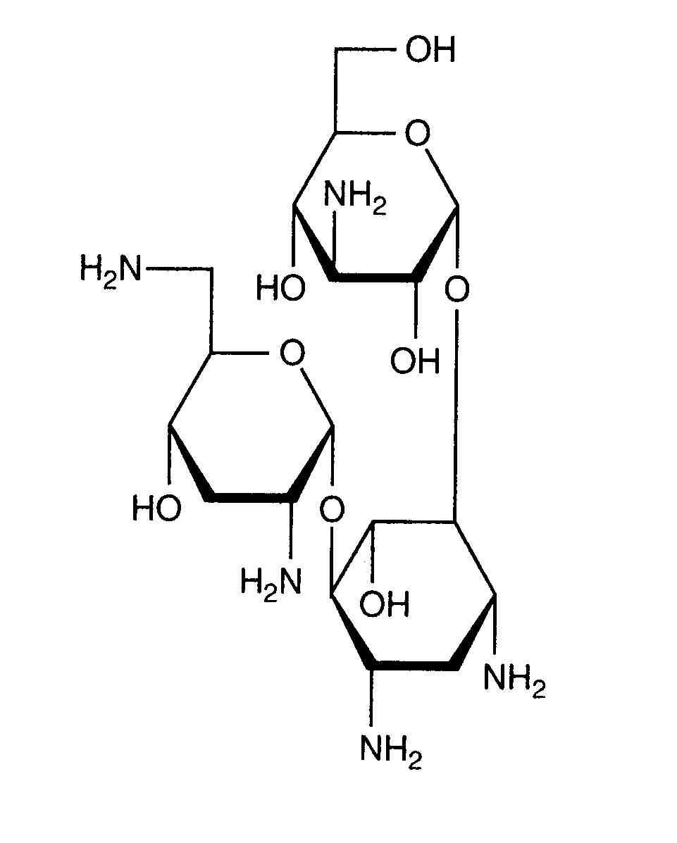
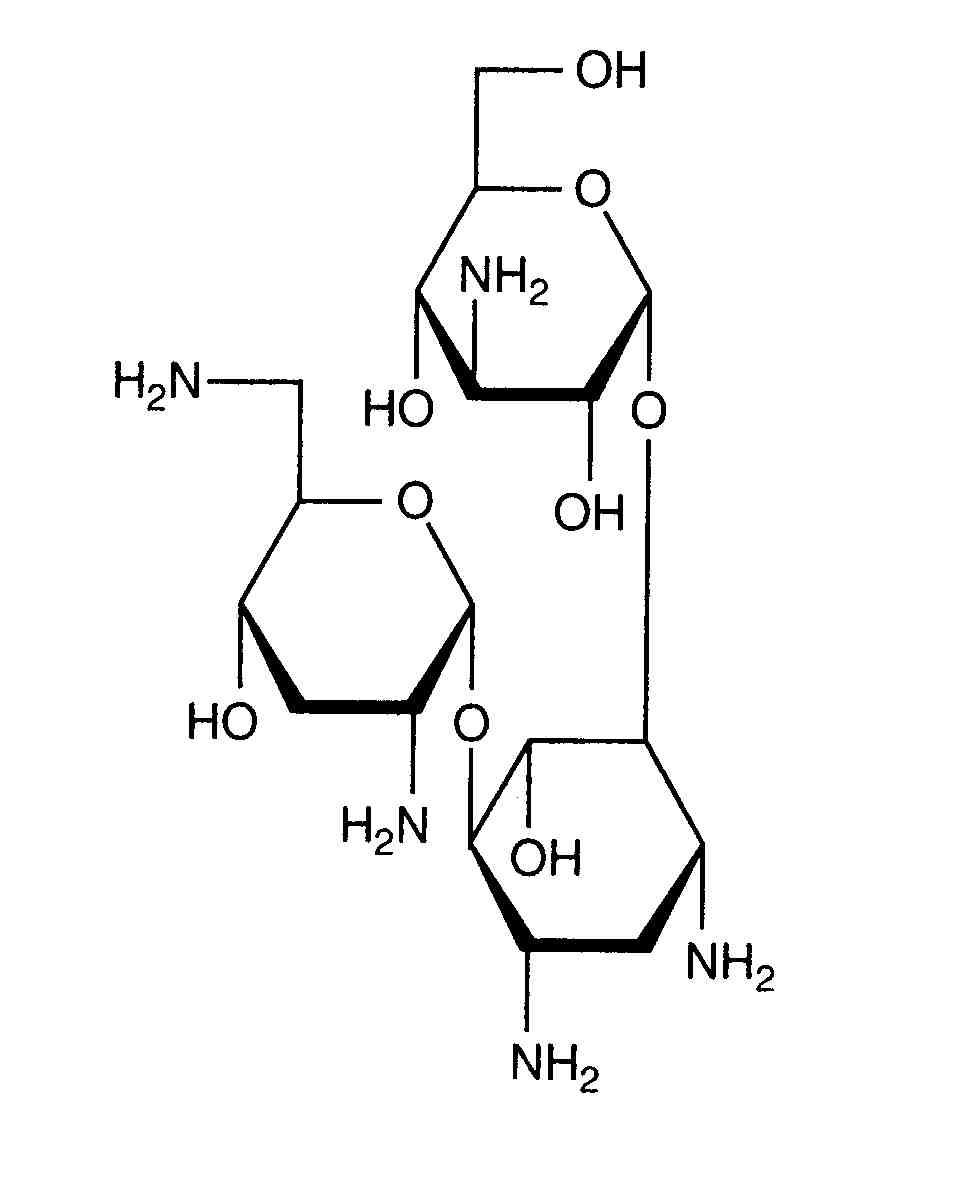
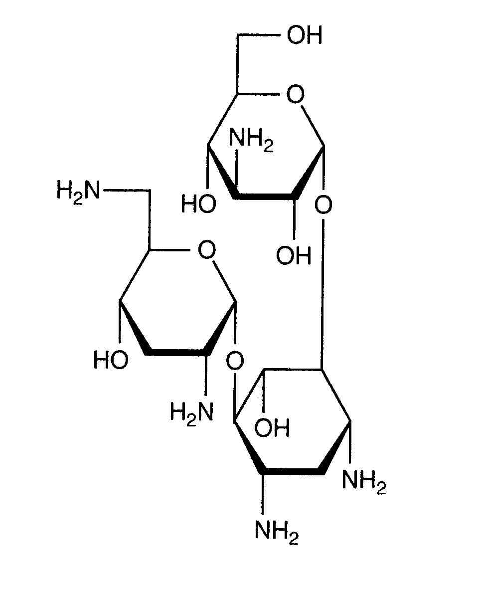
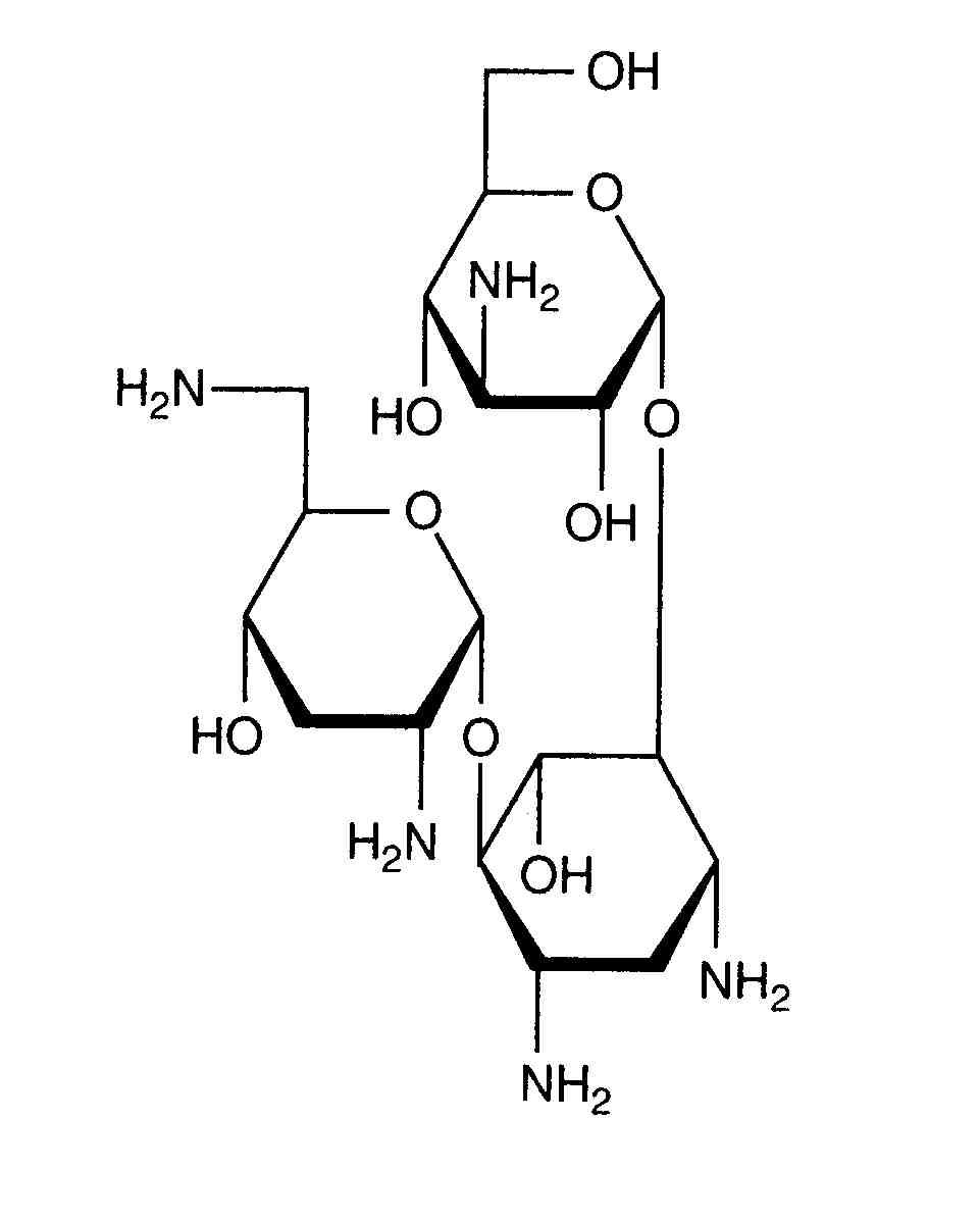
antibiootikum   Tobramycin sulfate   
Silmatilgad
aerosool Süsteravim suukaudne lahus
Stabiilsust ravimpreparaadid Stabiilsust mõjutavad tegurid stabiilsust mõjutavad faktorid Sobimatus Viited pdf
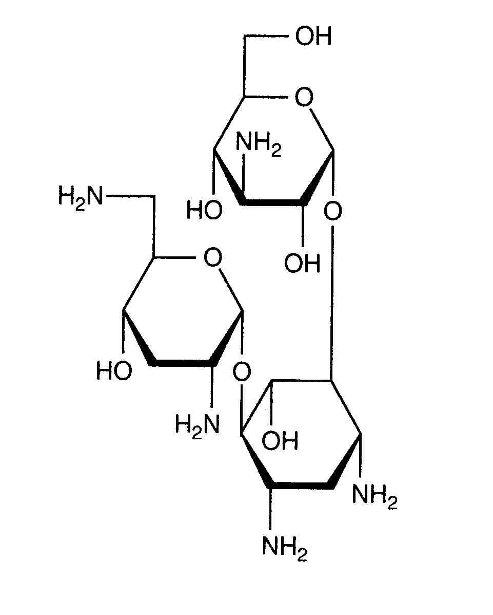
   keemiline struktuur  

Silmatilgad
Stabiilsust ravimpreparaadid   Silmatilgad   Stabiilsust ravimpreparaadid : Tobramycin sulfate      
konteiner Origine  abiaine temperatuur ladustamine Stabiilsuse kestus Viited
Plastikpudel Süsteravimi viaal 5 ml
Nebcin® 40 mg/ml
Tobrex® 3 mg/ml eye-drops 2 ml
4-8°C kaitsta valguse eest
90 päev
2487


  Mentions Légales