Ultimele actualizari :
18/03/2026
Antibiotic   Tobramycin sulfate   
colir
Aerosol Injectabil Soluţie orală
Stabilitatea preparatelor farmaceutice Stabilitatea in amestec Factorii care influenteaza stabilitatea Compatibilitate Bibliografie pdf
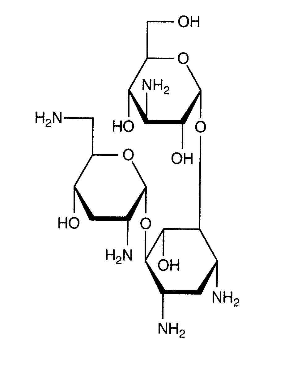
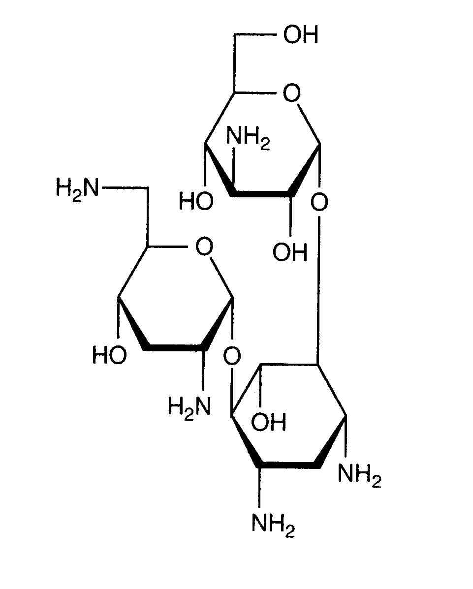
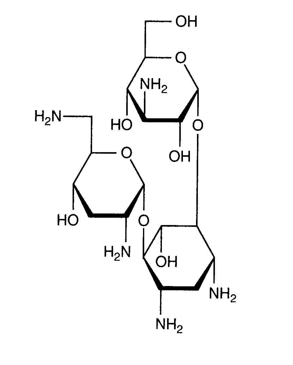
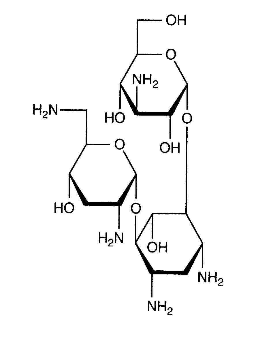
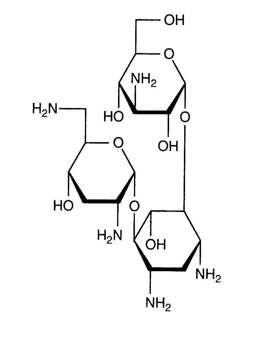
   Formula chimica  

colir
Stabilitatea preparatelor farmaceutice   colir   Stabilitatea preparatelor farmaceutice : Tobramycin sulfate      
Continut Origine Excipient Temperatura Conservare Durata stabilității Bibiografie
Sticla din plastic Flacon Flacon pentru medicament injectabil pentru injecţie 5 ml
Nebcin® 40 mg/ml
Tobrex® 3 mg/ml picaturi pentru ochi 2 ml
4-8°C Ferit de lumina
90 Ziua
2487


  Mentions Légales