Última actualização :
18/03/2026
antibiótico   Tobramycin sulfate   
solução oftálmica
aerossol injetável Solução Oral
Estabilidade de preparações farmacêuticas Estabilidade em misturas Factores que afectam a sua estabilidade Compatibilidade Bibliografía pdf
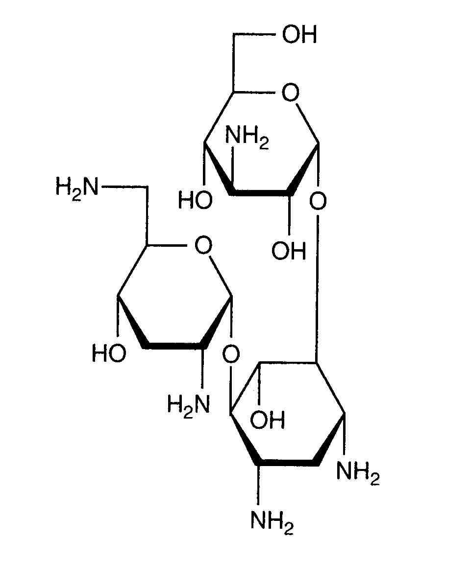
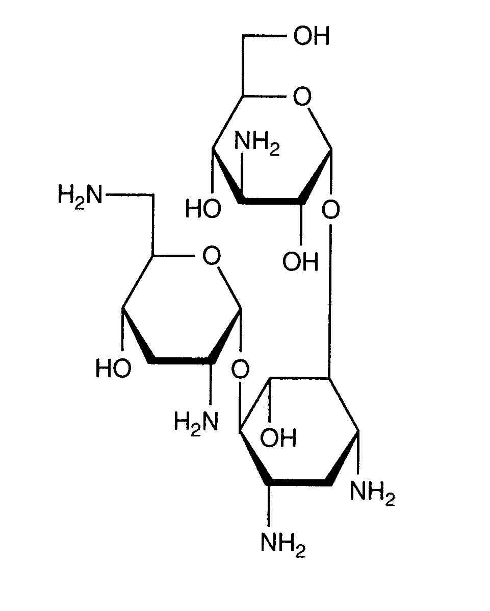
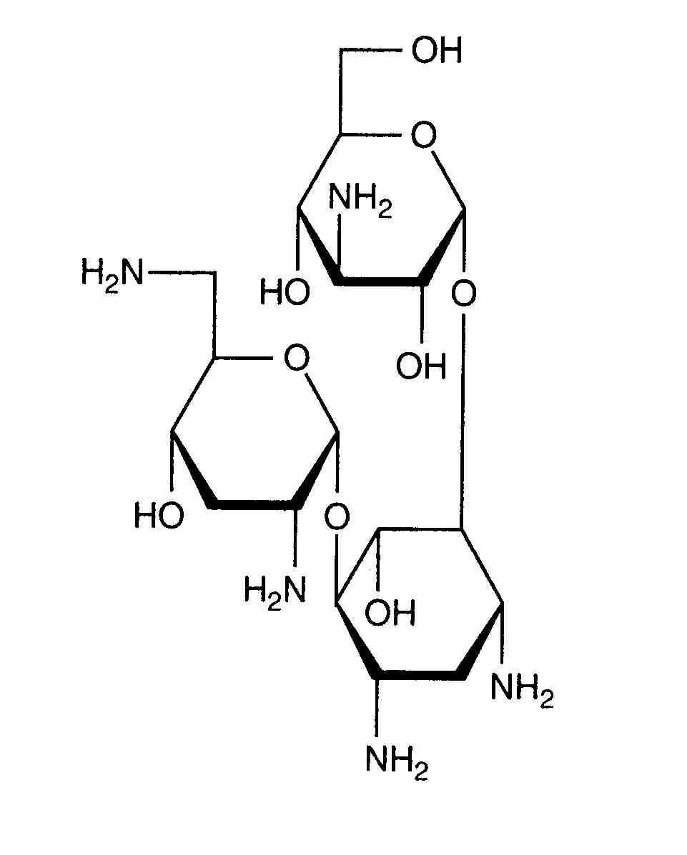
   estrutura química  

solução oftálmica
Estabilidade de preparações farmacêuticas   solução oftálmica   Estabilidade de preparações farmacêuticas : Tobramycin sulfate      
Embalagem Origine excipiente temperatura conservação Duração da estabilidade Bibliografia
frasco de plástico frasco de medicamento para injeção 5 ml
Nebcin® 40 mg/ml
tobrex 3 mg/ml colírio 2 ml
4-8°C ao abrigo da luz
90 dia
2487


  Mentions Légales