Siste oppdatering :
27/11/2025
Antibiotika   Tobramycin sulfate   
Øyedråper
Aerosol Injeksjon Mikstur
Stabilitet av farmasøytiske preparater Stabilitet i blandinger Faktorer som påvirker stabiliteten Kompatibilitet Referanser pdf
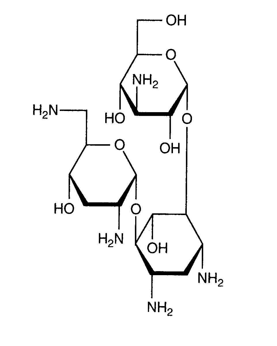
   Kjemisk struktur  

Øyedråper
Stabilitet av farmasøytiske preparater   Øyedråper   Stabilitet av farmasøytiske preparater : Tobramycin sulfate      
Beholder Origine Hjelpestoff Temperatur Oppbevaring Varighet av stabilitet Referanser
Plastflaske Hetteglass 5 ml
Nebcin® 40 mg/ml
Tobrex® 3 mg/ml øyedråper 2 ml
4-8°C Beskyttes mot lys
90 Dag
2487


  Mentions Légales