Utolsó frissítés :
27/11/2025
Antibiotikum   Tobramycin sulfate   
Szemcsepp
aeroszol belsőleges oldat Injekció
Stabilitása gyógyszerészeti készítmények A keverékek stabilitása Stabilitást befolyásoló tényezők Kompatibilitás Irodalom pdf
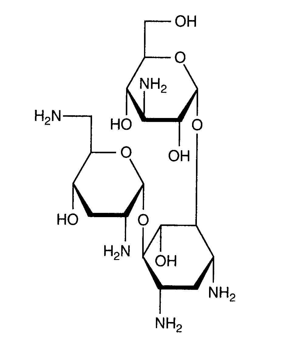
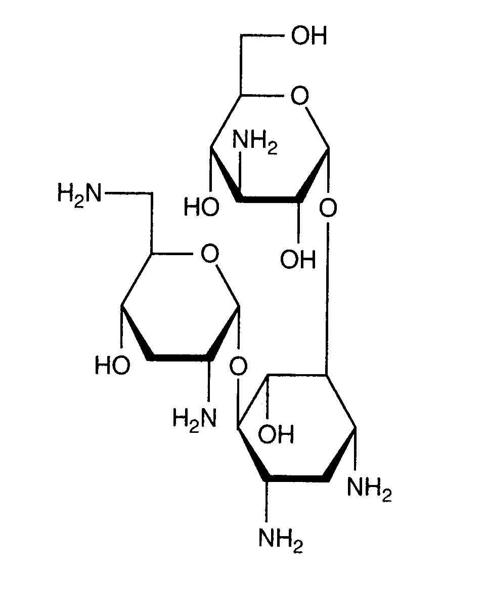
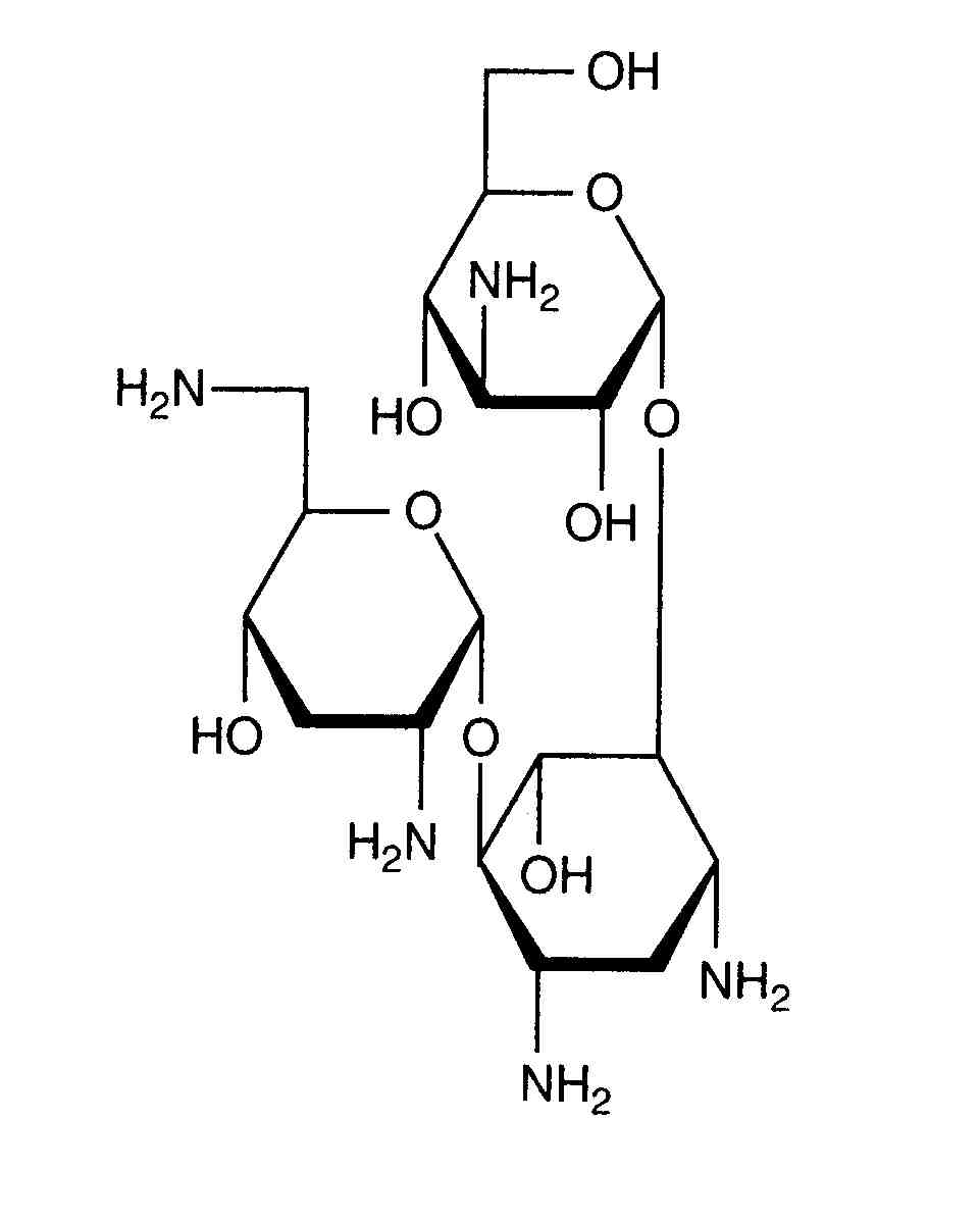
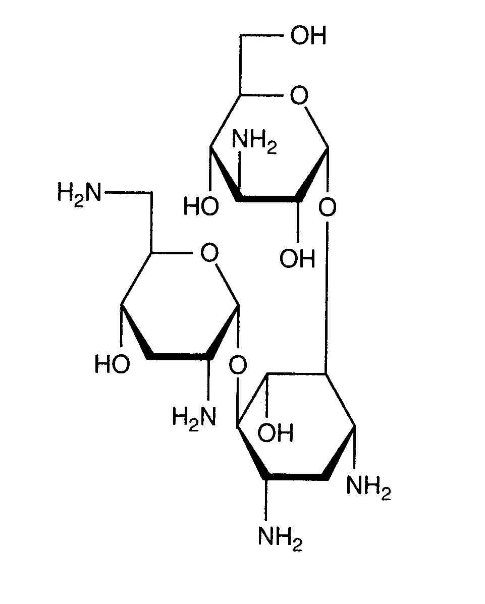
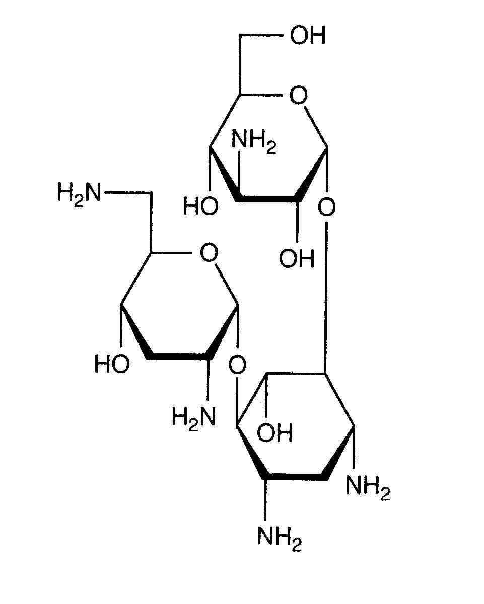
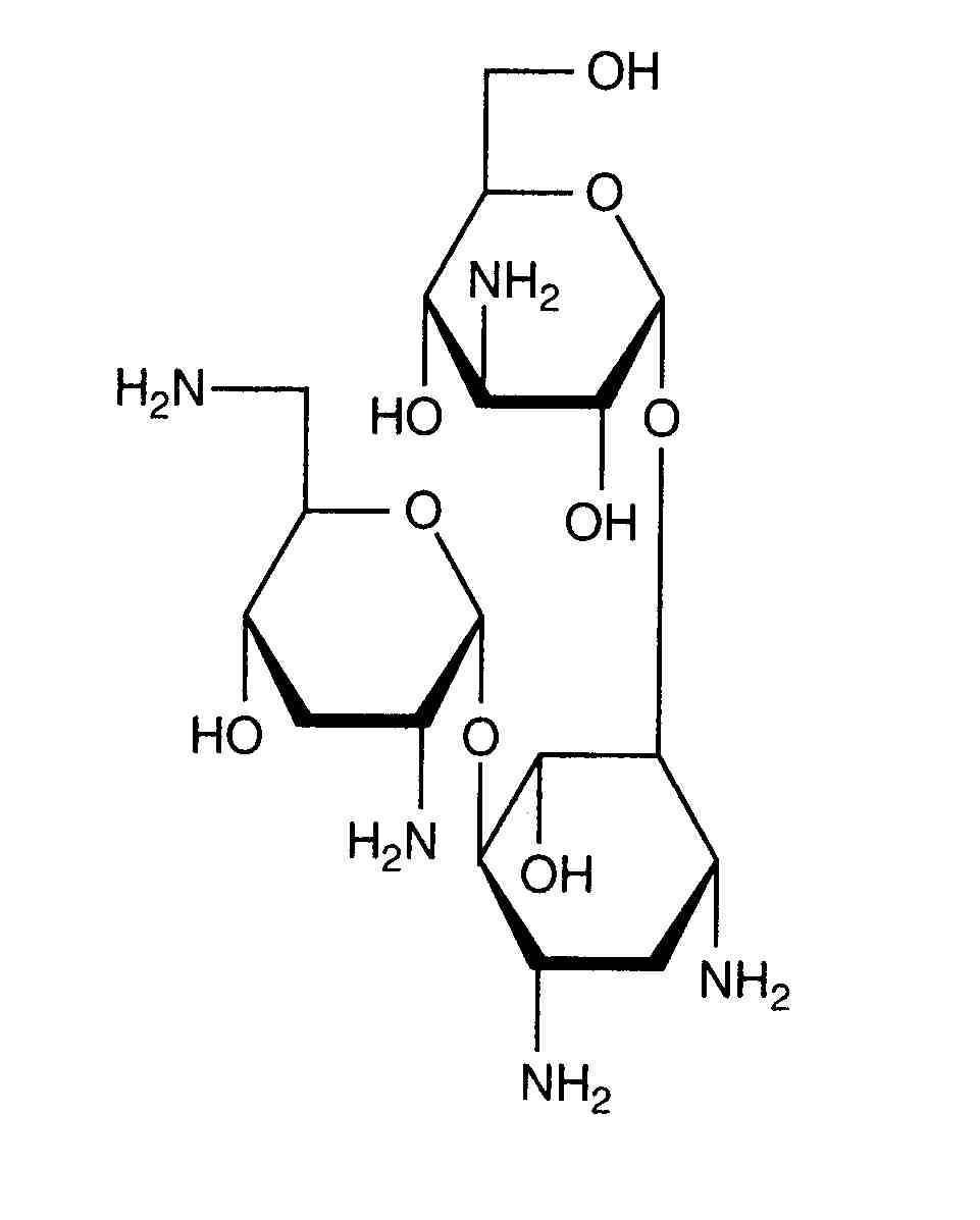
   Kémiai szerkezet   

Szemcsepp
Stabilitása gyógyszerészeti készítmények   Szemcsepp   Stabilitása gyógyszerészeti készítmények : Tobramycin sulfate      
Csomagolás Origine segédanyag Hőmérséklet Tárolás A stabilitás időtartama Irodalom
műanyag flakon Injekcióhoz való űveg 5 ml
Nebcin® 40 mg/ml
Tobrex® 3 mg/ml eye-drops 2 ml
4-8°C Fénytől védve tartandó
90 Nap
2487


  Mentions Légales