Last update :
18/03/2026
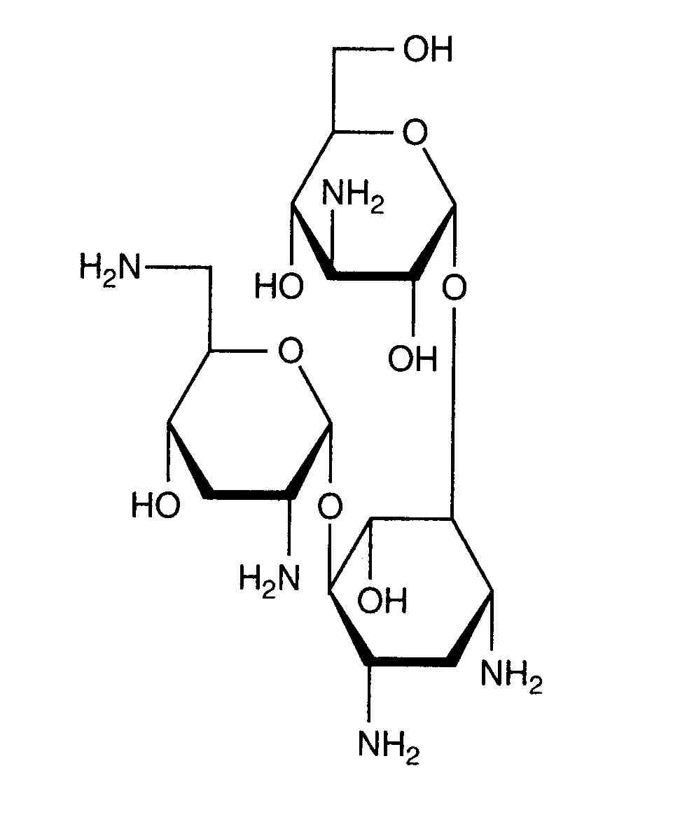
Antibiotic   Tobramycin sulfate   
Eye-drops
aerosol injection Oral solution
Stability of pharmaceutical preparations Stability of mixtures Factors which affect stability Compatibility References pdf
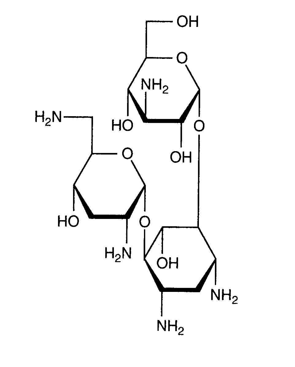
   Chemical structure  

Eye-drops
Stability of pharmaceutical preparations   Eye-drops   Stability of pharmaceutical preparations : Tobramycin sulfate      
Container Origine excipient Temperature Storage Duration of stability References
plastic bottle Medicine bottle for injection 5 ml
Nebcin® 40 mg/ml
Tobrex® 3 mg/ml eye-drops 2 ml
4-8°C Protect from light
90 Day
2487


  Mentions Légales