آخر تحديث :
27/11/2025
مضاد حيوي   Tobramycin sulfate   
قطرات العين
الأيروصولات حقن عن طريق الفم
استقرار المستحضرات الصيدلانية استقرار مخاليط العوامل التي تؤثر على الاستقرار التوافق مراجع pdf
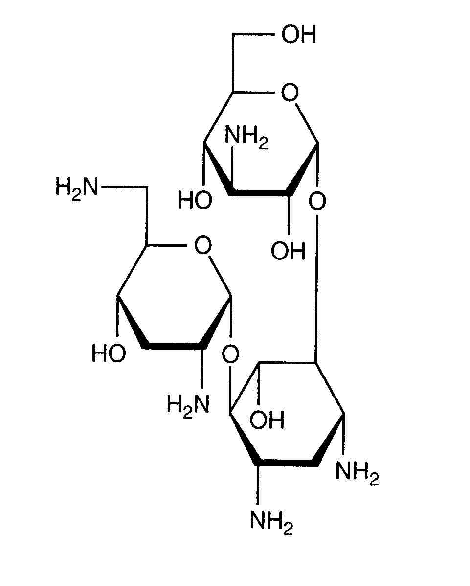
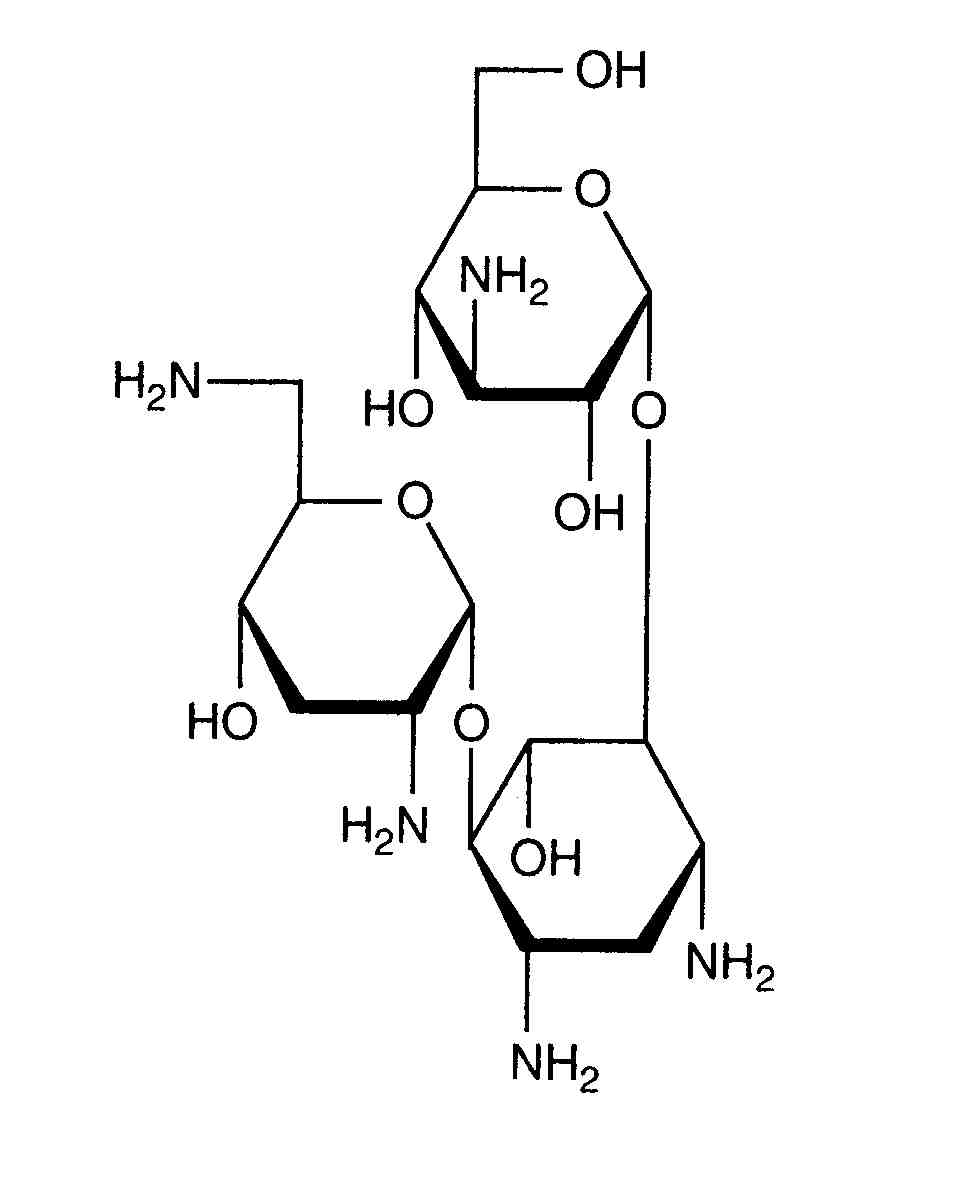
   التركيب الكيميائي  

قطرات العين
استقرار المستحضرات الصيدلانية   قطرات العين   استقرار المستحضرات الصيدلانية : Tobramycin sulfate      
حاوية Origine الاضافات درجة الحرارة تخزين مدة الاستقرار مراجع
زجاجة من البلاستيك زجاجة الدواء للحقن 5 ml
Nebcin® 40 mg/ml
Tobrex 3 ملغ / مل قطرات العين 2 ml
4-8°C بعيدا عن الضوء
90 يوم
2487


  Mentions Légales