Последнее обновление :
27/11/2025
Бета-блокатор   Carvedilol  
Раствор для перорального приёма
Стабильность фармацевтических препаратов Стабильность смесей Факторы, которые влияют на стабильность Совместимость Библиография pdf
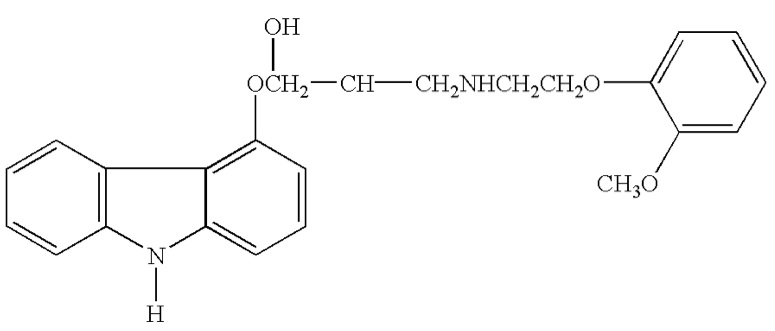
   Химическая структура  

Раствор для перорального приёма
Стабильность смесей   Раствор для перорального приёма   Стабильность смесей : Carvedilol     
данных нет

  Mentions Légales