Última actualização :
27/11/2025
Infostab
Lista de compostos
Listas de leitura dos resumos de informação
Pesquise compatibilidades
Tabela de compatibilidade do site Y
Bibliografía
As equipas de investigação
valistab
poster
Conexões
patrocinadores
Autores
Manual do utilizador
Boletim de notícias
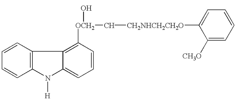
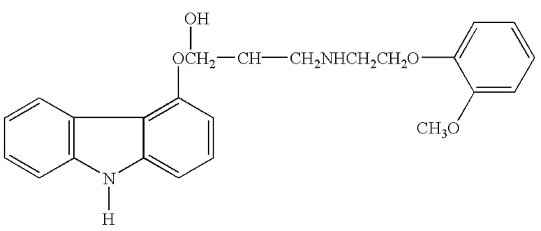
Carvedilol
estrutura química
Estabilidade em misturas : Carvedilol
Ausência de dados
Mentions Légales