Last update :
27/11/2025
Beta-blocker   Carvedilol  
Oral solution
Stability of pharmaceutical preparations Stability of mixtures Factors which affect stability Compatibility References pdf
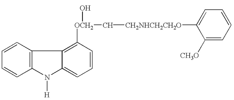
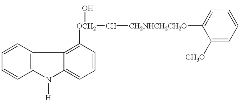
   Chemical structure  

Oral solution
Stability of mixtures   Oral solution   Stability of mixtures : Carvedilol     
No data

  Mentions Légales