Última actualización :
05/12/2025
Betabloqueante   Carvedilol  
Solución Oral
La estabilidad de las preparaciones farmacéuticas Estabilidad en mezcla Factores que influyen sobre la estabilidad Compatibilidades Bibliografía pdf
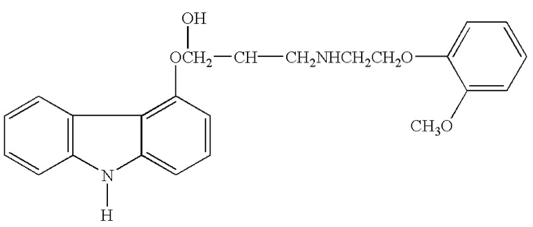
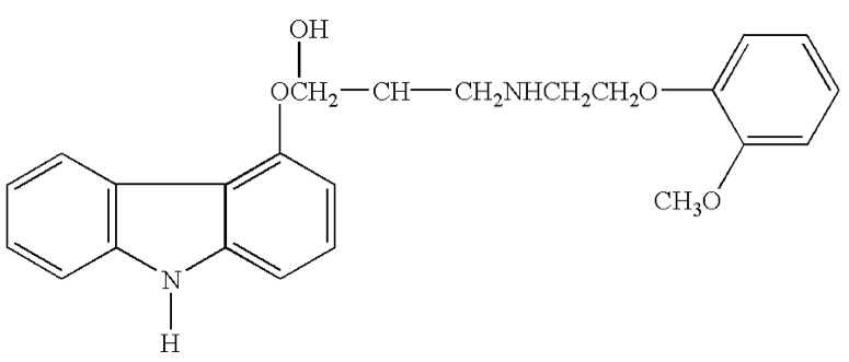
   Estructura química  

Solución Oral
Estabilidad en mezcla   Solución Oral   Estabilidad en mezcla : Carvedilol     
Ausencia de datos

  Mentions Légales