Cập nhật lần cuối :
18/03/2026
Infostab
Danh sách các chất
Danh sách tóm tắt
Tìm kiếm khả năng tương thích
Bảng tương thích Y-site
Tài liệu tham khảo
đội nghiên cứu
valistab
Poster
kết nối
nhà tài trợ
Các tác giả
Hướng dẫn dành cho người dùng
Bản tin cập nhật
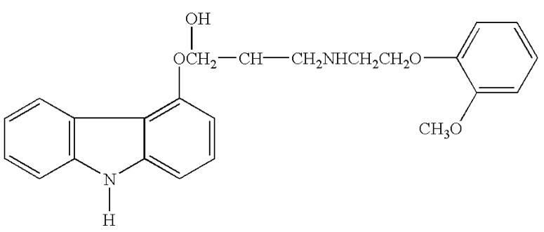
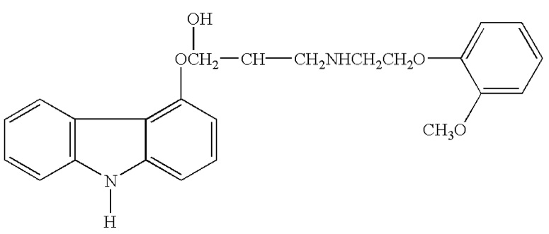
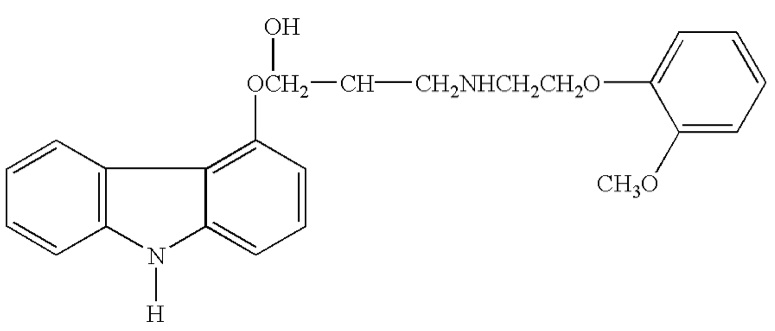
Carvedilol
Cấu trúc hóa học
Tài liệu tham khảo : Carvedilol
Loại
Nguồn
2931
Tạp chí
Yamreudeewong W, Dolence EK, Pahl D.
Stability of two extemporaneously prepared oral metoprolol and carvedilol liquids.
Hosp Pharm 2006 ; 41: 254-259.
3167
Tạp chí
Buontempo F, Bernabeu E, Glisoni RJ, Quiroga E, Bregni C, Chiappetta DA.
Carvedilol stability in paediatric oral liquid formulations.
Farm Hosp 2010 ;34:293-7.
3910
Tạp chí
Polonini H.C, Silva S .L, de Almeida T.R, Brand?o M.A, Ferreira A.O.
Compatibility of caffeine, carvedilol, clomipramine hydrochloride, folic acid, hydrochlorothiazide, loperamide hydrochloride, methotrexate, nadolol, naltrexone hydrochloride and pentoxifylline in SyrSpend SF PH4 oral suspensions.
EJHP 2016 ; 23: 352-358.
4177
Tạp chí
Polonini H, Loures da Silva S, Fernandes Brandao M.A, Bauters T, De Moerloose B, De Oliveira Ferreira A.
Compatibility of Baclofen, Carvedilol, Hydrochlorothiazide, Mercaptopurine, Methadone Hydrochloride, Oseltamivir Phosphate, Phenobarbital, Propranolol Hydrochloride, Pyrazinamide, Sotalol Hydrochloride, Spironolactone, Tacrolimus Monohydrate, Ursodeoxycholic Acid, and Vancomycin Hydrochloride Oral Suspensions Compounded with SyrSpend SF PH4.
Int J Pharm Compound 2018 ;22,6:516-526
Mentions Légales