Viimeisin päivitys :
27/11/2025
Beetasalpaajat   Carvedilol  
Oraaliliuos
Vakaus lääkevalmisteen Stabilius seoksissa Tekijät, jotka vaikuttavat stabiliuteen Yhteensopivuus Viitteet pdf
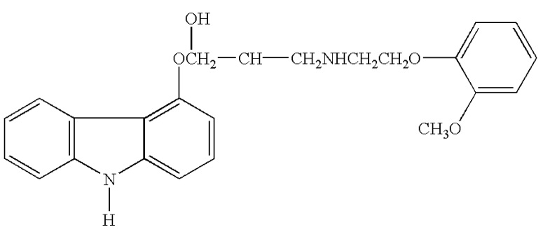
   Kemiallinen rakenne  

Oraaliliuos
Stabilius seoksissa   Oraaliliuos   Stabilius seoksissa : Carvedilol     
ei tietoa

  Mentions Légales