Ostatnia aktualizacja :
18/03/2026
Lek beta-adrenolityczny   Carvedilol  
Roztwór doustny
Stabilność preparatów farmaceutycznych Trwałość w mieszaninie Czynnik wpływający na trwałość Zgodność Bibliografia pdf
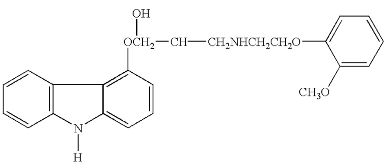
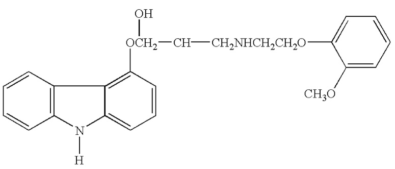
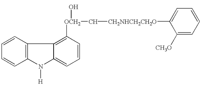
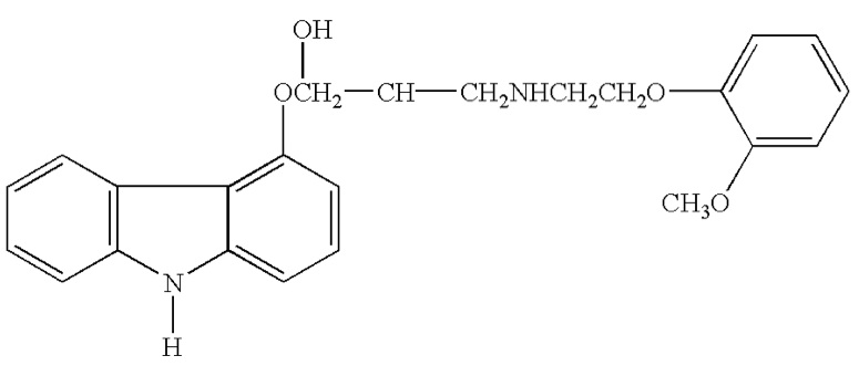
   Struktura chemiczna  

Roztwór doustny
Trwałość w mieszaninie   Roztwór doustny   Trwałość w mieszaninie : Carvedilol     
Brak danych

  Mentions Légales