Poslední aktualizace :
18/03/2026
beta-blokátor   Carvedilol  
Perorální roztok
Stabilita farmaceutických přípravků Stabilita směsí Faktory ovlivňující stabilitu Kompatibilita Odkazy pdf
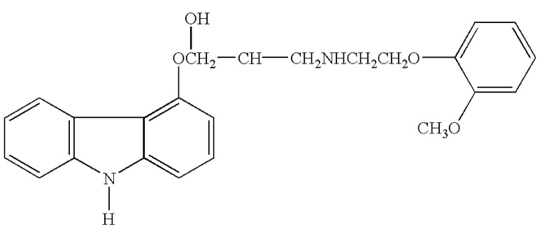
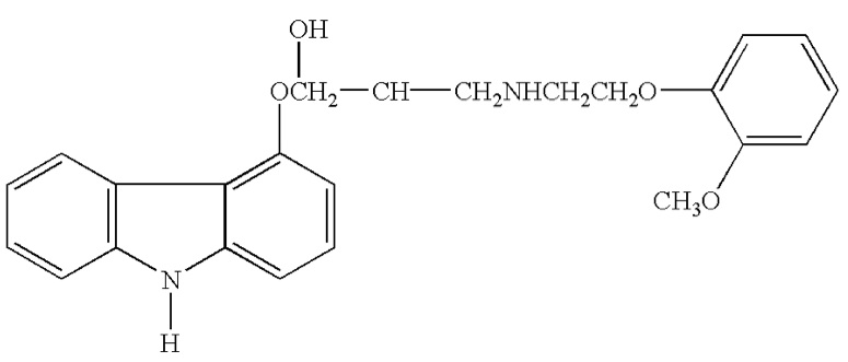
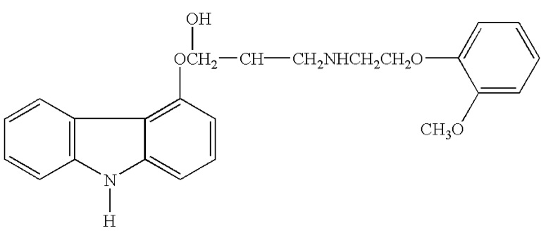
   Chemický vzorec  

Perorální roztok
Stabilita směsí   Perorální roztok   Stabilita směsí : Carvedilol     
žádná data

  Mentions Légales